ГОСТ Р 57747-2017 Ткани плетеные. Общие технические требования и методы испытаний
ГОСТ Р
Скачать ГОСТ в PDF или DOC бесплатно
Основная информация
Обозначение:
ГОСТ Р 57747-2017
Статус:
Действует
Тип:
ГОСТ Р
Название русское:
Ткани плетеные. Общие технические требования и методы испытаний
Название английское:
Woven fabrics. General technical requirements and test methods
Даты и сроки
Дата издания:
10-11-17
Дата введения в действие:
02-01-18
Дата завершения срока действия:
-
Применение и описание
Область и условия применения:
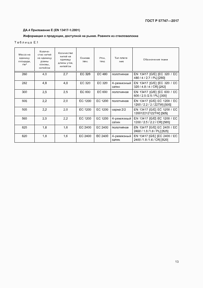
Настоящий стандарт распространяется на плетеные ткани, предназначенные для армирования пластмасс и композитов, и устанавливает общие технические требования и методы испытаний. Система обозначения плетеных тканей, приведенная в настоящем стандарте, применима для тканей, изготовленных из параарамидного, углеродного, полиэтиленового, полиэфирного, керамического волокна и стекловолокна в виде однокруточных, крученых, многокруточных, текстурированных нитей, ровингов, жгутов и т.п. Указанные материалы могут использоваться как отдельно, так и в комбинации с другими материалами (гибридные ткани)
Связи и замены
Заменяющий:
-
Описание стандарта
ГОСТ Р 57747-2017 Ткани плетеные. Общие технические требования и методы испытаний
Страницы стандарта



















