ГОСТ Р 58918-2021 Технологический инжиниринг и проектирование. Технологическая документация. Общие требования к составу
ГОСТ Р
Скачать ГОСТ в PDF или DOC бесплатно
Основная информация
Обозначение:
ГОСТ Р 58918-2021
Статус:
Действует
Тип:
ГОСТ Р
Название русское:
Технологический инжиниринг и проектирование. Технологическая документация. Общие требования к составу
Название английское:
Engineering (technology and design). Technological documentation. General requirements for the structure
Даты и сроки
Дата издания:
10-13-21
Дата введения в действие:
01-01-22
Дата завершения срока действия:
-
Применение и описание
Область и условия применения:
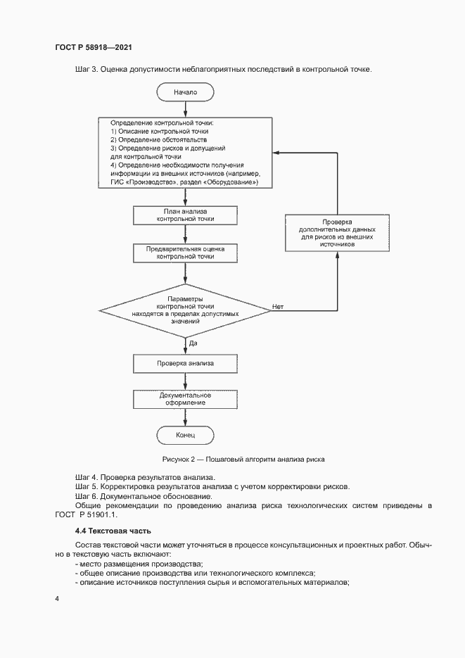
Настоящий стандарт устанавливает общие требования к составу технологической документации, которая может быть разработана при оказании следующих услуг в сфере технологического инжиниринга: - предпроектные работы; - технологическое проектирование; - технологический аудит
Связи и замены
Заменяющий:
-
Описание стандарта
ГОСТ Р 58918-2021 Технологический инжиниринг и проектирование. Технологическая документация. Общие требования к составу
Страницы стандарта











