ГОСТ 28479-90 Валы сновальные. Основные размеры
ГОСТ
Скачать ГОСТ в PDF или DOC бесплатно
Основная информация
Обозначение:
ГОСТ 28479-90
Статус:
Действует
Тип:
ГОСТ
Название русское:
Валы сновальные. Основные размеры
Название английское:
Warper`s beams. Main dimensions
Даты и сроки
Дата издания:
11-01-05
Дата введения в действие:
01-01-93
Дата завершения срока действия:
-
Применение и описание
Область и условия применения:
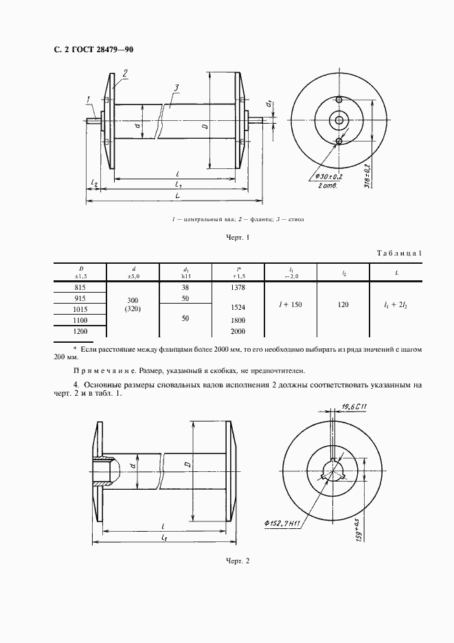
Настоящий стандарт распространяется на сновальные валы, предназначенные для наматывания на них основных нитей на вновь создаваемых сновальных машинах, для нужд народного хозяйства и экспорта
Связи и замены
Заменяющий:
-
Описание стандарта
ГОСТ 28479-90 Валы сновальные. Основные размеры
Страницы стандарта






