ГОСТ 28461-90 Кожа искусственная одежная. Общие технические условия
ГОСТ
Скачать ГОСТ в PDF или DOC бесплатно
Основная информация
Обозначение:
ГОСТ 28461-90
Статус:
Действует
Тип:
ГОСТ
Название русское:
Кожа искусственная одежная. Общие технические условия
Название английское:
Artificial leather for garments. General specifications
Даты и сроки
Дата издания:
11-01-05
Дата введения в действие:
06-30-91
Дата завершения срока действия:
-
Применение и описание
Область и условия применения:
Настоящий стандарт распространяется на искусственную одежную кожу, предназначенную для изготовления верхней одежды. Стандарт не распространяется на искожу специального назначения
Связи и замены
Заменяющий:
-
Взамен:
ОСТ 17-884-81;ОСТ 17-894-81
Изменения и переиздания
Список изменений:
№0 от (рег. ) «Дата введения перенесена»
Описание стандарта
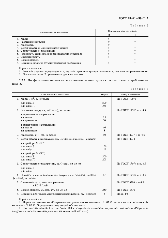
ГОСТ 28461-90 Кожа искусственная одежная. Общие технические условия
Страницы стандарта









Приложение №1: Поправка к ГОСТ 28461-90 Обозначение: Поправка к ГОСТ 28461-90 Дата введения в действие: 26.03.2015
