ГОСТ 12807-2003 Изделия швейные. Классификация стежков, строчек и швов
ГОСТ
Скачать ГОСТ в PDF или DOC бесплатно
Основная информация
Обозначение:
ГОСТ 12807-2003
Статус:
Действует
Тип:
ГОСТ
Название русское:
Изделия швейные. Классификация стежков, строчек и швов
Название английское:
Sewing goods. Classification of stitches, stitchings and seems
Даты и сроки
Дата регистрации:
12-05-03
Дата издания:
10-19-05
Дата введения в действие:
01-01-06
Применение и описание
Область и условия применения:
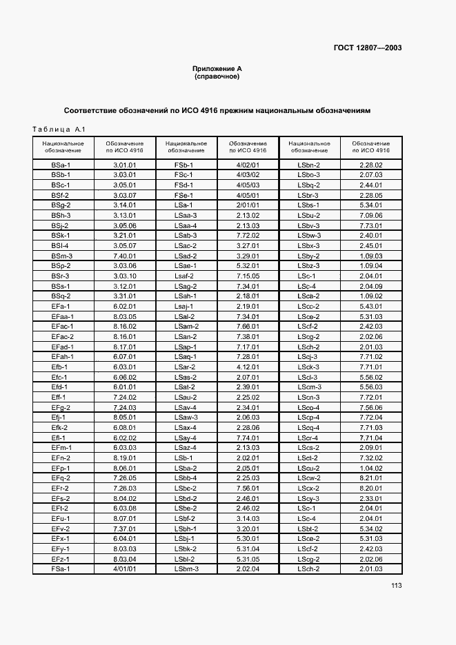
Настоящий стандарт устанавливает классификацию, условные и графические изображения и кодовые обозначения стежков, строчек и швов, применяемых при изготовлении швейных изделий. Классификацию стежков, строчек и швов применяют при выборе способов соединения деталей и узлов швейных изделий, средств технологической оснастки, разработке карт инженерного обеспечения, при маркировке швейных машин и полуавтоматов и другой технологической и нормативной документации
Связи и замены
Взамен:
ГОСТ 12807-88
Изменения и переиздания
Список изменений:
№0 от (рег. ) «Дата введения перенесена»
Описание стандарта
ГОСТ 12807-2003 Изделия швейные. Классификация стежков, строчек и швов
Страницы стандарта























































































































Приложение №1: Поправка к ГОСТ 12807-2003 Обозначение: Поправка к ГОСТ 12807-2003 Дата введения в действие: 01.12.2007
