ГОСТ 24660-81 Статистический приемочный контроль по альтернативному признаку на основе экономических показателей
ГОСТ
Скачать ГОСТ в PDF или DOC бесплатно
Основная информация
Обозначение:
ГОСТ 24660-81
Статус:
Действует
Тип:
ГОСТ
Название русское:
Статистический приемочный контроль по альтернативному признаку на основе экономических показателей
Название английское:
Acceptance statistical inspection by attributes based on economic characters
Даты и сроки
Дата издания:
11-01-01
Дата введения в действие:
01-01-82
Дата завершения срока действия:
-
Применение и описание
Область и условия применения:
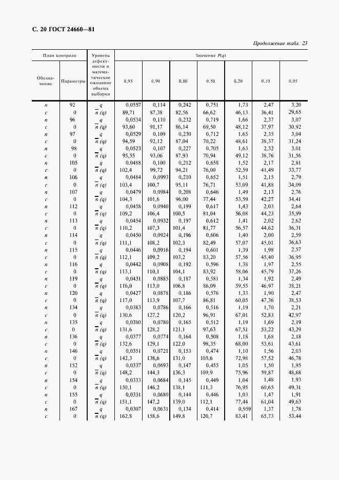
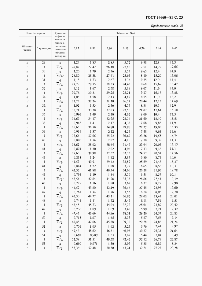
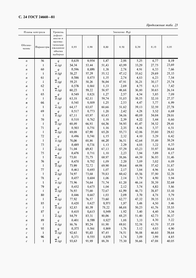
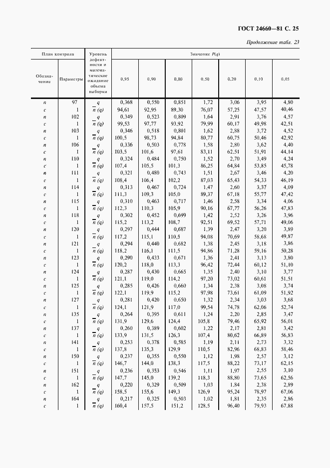
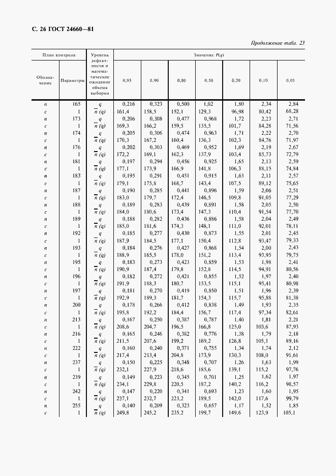
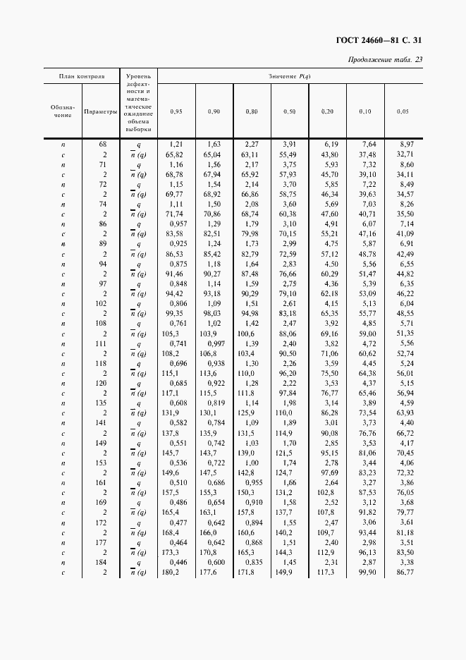
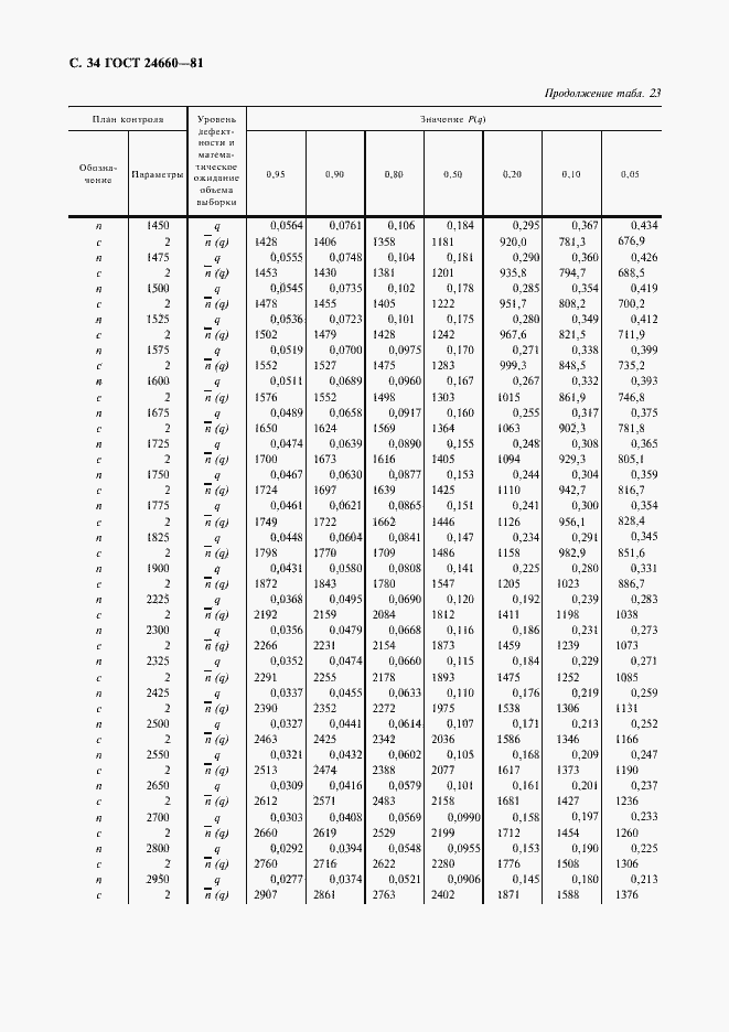
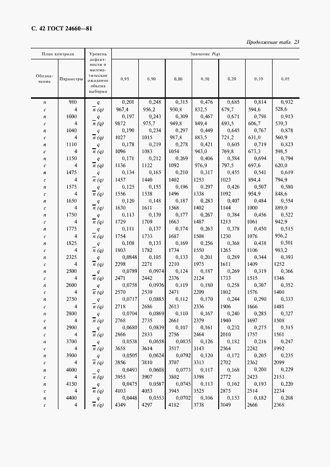
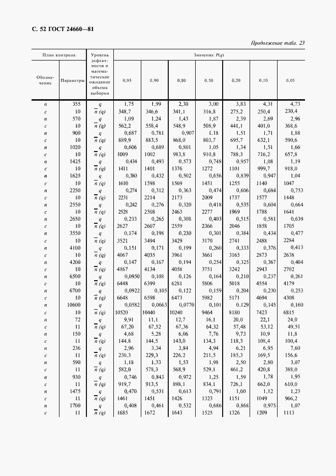
Настоящий стандарт устанавливает планы и порядок проведения статистического приемочного контроля качества по альтернативному признаку на основе экономических показателей для штучной и нештучной (в упаковочных единицах) продукции
Связи и замены
Заменяющий:
-
Описание стандарта
ГОСТ 24660-81 Статистический приемочный контроль по альтернативному признаку на основе экономических показателей
Страницы стандарта




































































