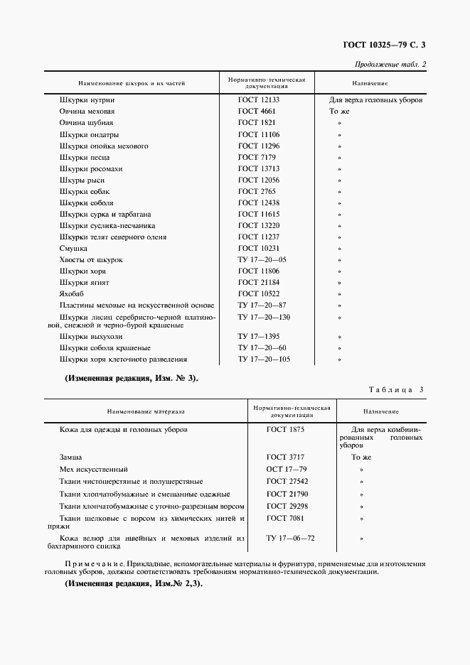
ГОСТ 10325-79 Головные уборы меховые. Общие технические условия
ГОСТ
Скачать ГОСТ в PDF или DOC бесплатно
Основная информация
Обозначение:
ГОСТ 10325-79
Статус:
Заменен
Тип:
ГОСТ
Название русское:
Головные уборы меховые. Общие технические условия
Название английское:
Fur and fur trimmtd head-dresses. General specifications
Даты и сроки
Дата издания:
01-01-02
Дата введения в действие:
01-01-81
Дата завершения срока действия:
01-01-16
Применение и описание
Область и условия применения:
Настоящий стандарт распространяется на меховы мужские, женские, подростковые и детские головные уборы, изготовленные из меховых шкурок и их частей, мехового велюра и шубной овчины или комбинированные с другими материалами
Связи и замены
Заменяющий:
ГОСТ 10325-2014
Взамен:
ГОСТ 10325-70;ГОСТ 5.737-71;ГОСТ 5.1195-72
Изменения и переиздания
Список изменений:
№1 от (рег. ) «Срок действия продлен» №2 от (рег. ) «Срок действия продлен» №3 от (рег. ) «Срок действия продлен»
Описание стандарта
ГОСТ 10325-79 Головные уборы меховые. Общие технические условия
Страницы стандарта


















