ГОСТ 27.202-83 Надежность в технике. Технологические системы. Методы оценки надежности по параметрам качества изготовляемой продукции
ГОСТ
Скачать ГОСТ в PDF или DOC бесплатно
Основная информация
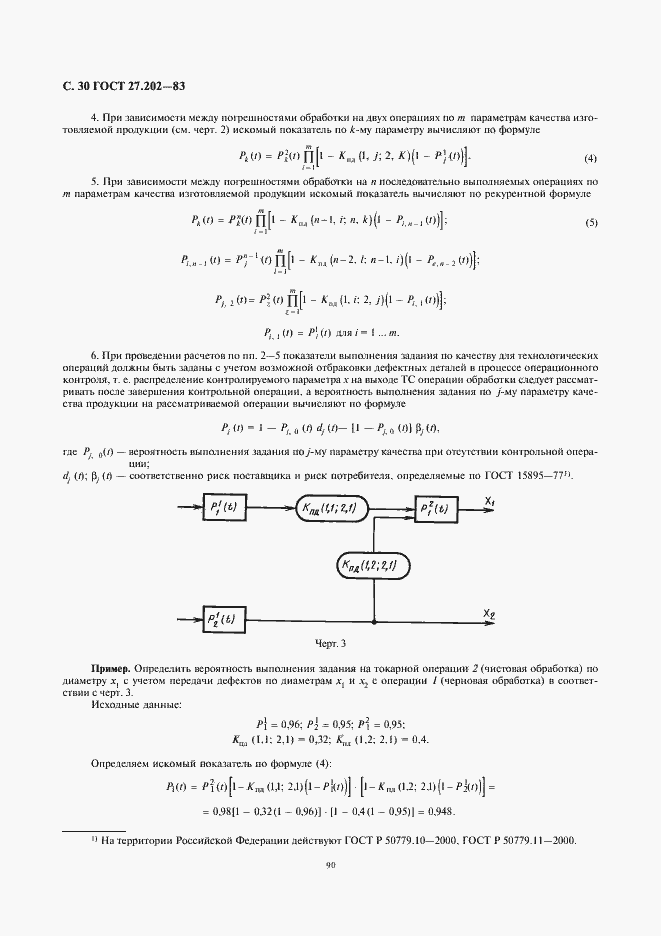
Обозначение:
ГОСТ 27.202-83
Статус:
Действует
Тип:
ГОСТ
Название русское:
Надежность в технике. Технологические системы. Методы оценки надежности по параметрам качества изготовляемой продукции
Название английское:
Reliability in technique. Technological systems. Methods of reliability evaluation by parameters of product quality
Даты и сроки
Дата издания:
07-01-02
Дата введения в действие:
06-30-84
Дата завершения срока действия:
-
Применение и описание
Область и условия применения:
Настоящий стандарт устанавливает технические требования к методам оценки надежности технологических систем по параметрам качества изготовляемой продукции в отраслях машиностроения и приборостроения при технологической подготовке производства, а также при разработке и внедрении мероприятий по совершенствованию действующих технологический процессов и операций
Связи и замены
Заменяющий:
-
Взамен:
ГОСТ 23641-79;ГОСТ 16467-70;ГОСТ 16.304-74;ГОСТ 16.305-74;ГОСТ 16.306-74
Описание стандарта
ГОСТ 27.202-83 Надежность в технике. Технологические системы. Методы оценки надежности по параметрам качества изготовляемой продукции
Страницы стандарта


































