ГОСТ 28181-89 Черенки виноградной лозы. Технические условия
ГОСТ
Скачать ГОСТ в PDF или DOC бесплатно
Основная информация
Обозначение:
ГОСТ 28181-89
Статус:
Действует
Тип:
ГОСТ
Название русское:
Черенки виноградной лозы. Технические условия
Название английское:
Vine shoots. Specifications
Даты и сроки
Дата издания:
12-01-06
Дата введения в действие:
03-01-90
Дата завершения срока действия:
-
Применение и описание
Область и условия применения:
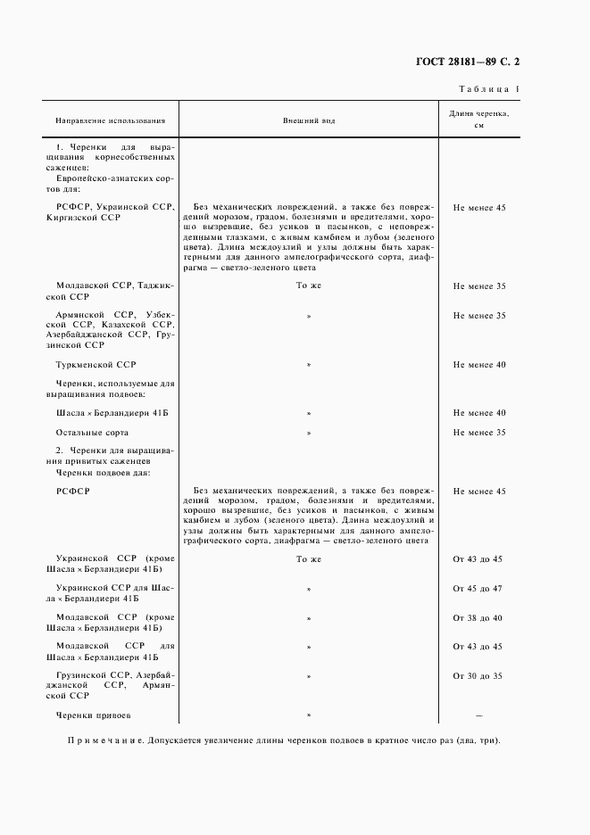
Настоящий стандарт распространяется на вызревшие черенки виноградной лозы, используемые для выращивания корнесобственных и привитых саженцев винограда
Связи и замены
Заменяющий:
-
Взамен:
ОСТ 46 12-80
Изменения и переиздания
Список изменений:
№0 от (рег. ) «Поправка к изменению» №0 от (рег. ) «Восстановлен на территории РФ»
Описание стандарта
ГОСТ 28181-89 Черенки виноградной лозы. Технические условия
Страницы стандарта







