ГОСТ 29268-91 Картофель семенной. Оздоровленный исходный материал. Технические условия
ГОСТ
Скачать ГОСТ в PDF или DOC бесплатно
Основная информация
Обозначение:
ГОСТ 29268-91
Статус:
Утратил силу в РФ
Тип:
ГОСТ
Название русское:
Картофель семенной. Оздоровленный исходный материал. Технические условия
Название английское:
Seed potatoes. Normalized initial material. Specifications
Даты и сроки
Дата издания:
08-01-04
Дата введения в действие:
01-01-93
Дата завершения срока действия:
01-01-10
Применение и описание
Область и условия применения:
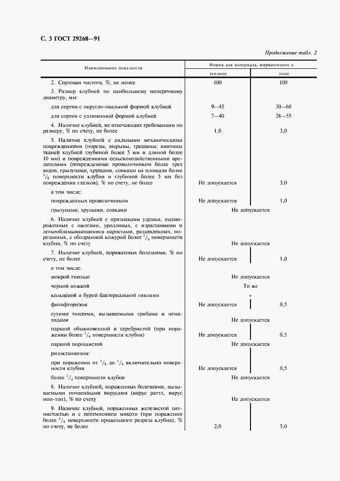
Настоящий стандарт распространяется на оздоровленный исходный семенной материал картофеля (растения и клубни), предназначенный для посадки
Связи и замены
Заменяющий:
-
Изменения и переиздания
Список изменений:
№0 от (рег. ) «Поправка к изменению»
Описание стандарта
ГОСТ 29268-91 Картофель семенной. Оздоровленный исходный материал. Технические условия
Страницы стандарта







