ГОСТ 31344-2007 Машины и оборудование для удаления навоза. Методы испытаний
ГОСТ
Скачать ГОСТ в PDF или DOC бесплатно
Основная информация
Обозначение:
ГОСТ 31344-2007
Статус:
Заменен
Тип:
ГОСТ
Название русское:
Машины и оборудование для удаления навоза. Методы испытаний
Название английское:
Machines and equipment for removing the manure. Test methods
Даты и сроки
Дата регистрации:
06-08-07
Дата издания:
12-17-07
Дата введения в действие:
01-01-09
Дата завершения срока действия:
04-01-25
Применение и описание
Область и условия применения:
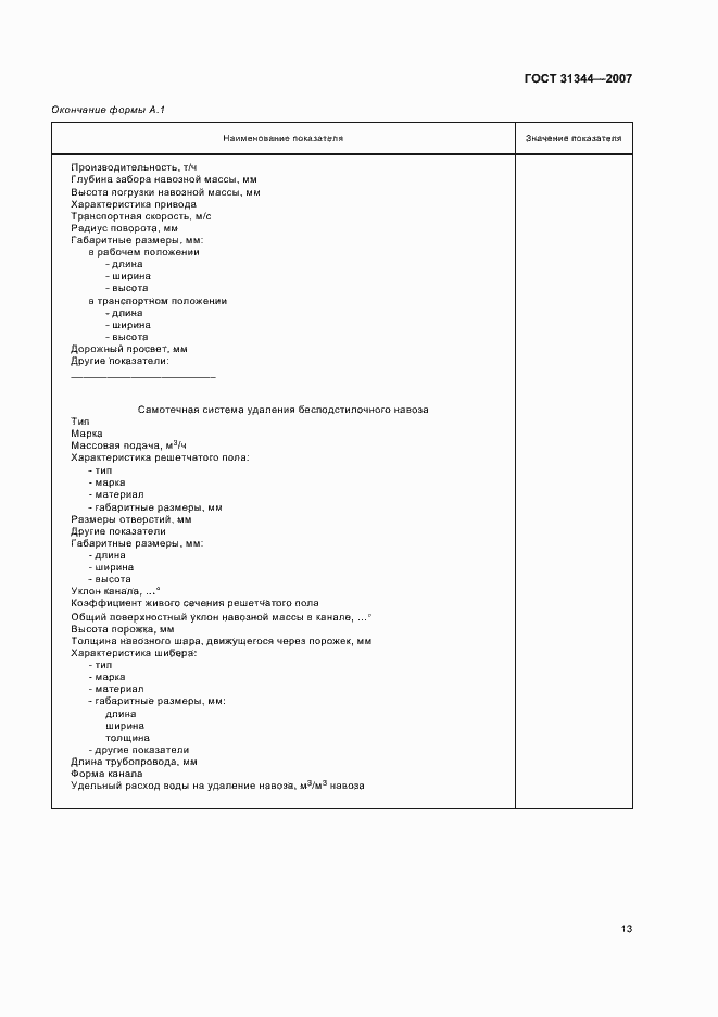
Настоящий стандарт распространяется на машины, оборудование и системы удаления навоза: бульдозеры, мобильные агрегаты, скребковые транспортеры; установки циклического действия, пневмоустановки, дельта-скреперные установки и самотечные системы и устанавливает методы их испытаний
Связи и замены
Заменяющий:
ГОСТ 31344-2024
Описание стандарта
ГОСТ 31344-2007 Машины и оборудование для удаления навоза. Методы испытаний
Страницы стандарта


























