ГОСТ 17.2.2.02-98 Охрана природы. Атмосфера. Нормы и методы определения дымности отработавших газов дизелей, тракторов и самоходных сельскохозяйственных машин
ГОСТ
Скачать ГОСТ в PDF или DOC бесплатно
Основная информация
Обозначение:
ГОСТ 17.2.2.02-98
Статус:
Действует
Тип:
ГОСТ
Название русское:
Охрана природы. Атмосфера. Нормы и методы определения дымности отработавших газов дизелей, тракторов и самоходных сельскохозяйственных машин
Название английское:
Nature protection. Atmosphere. Rates and testing methods of exhaust smoke from diesel engines, tractors and agricultural machines
Даты и сроки
Дата регистрации:
05-28-98
Дата издания:
07-01-04
Дата введения в действие:
07-01-99
Дата завершения срока действия:
-
Применение и описание
Область и условия применения:
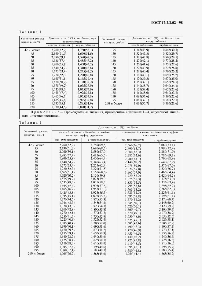
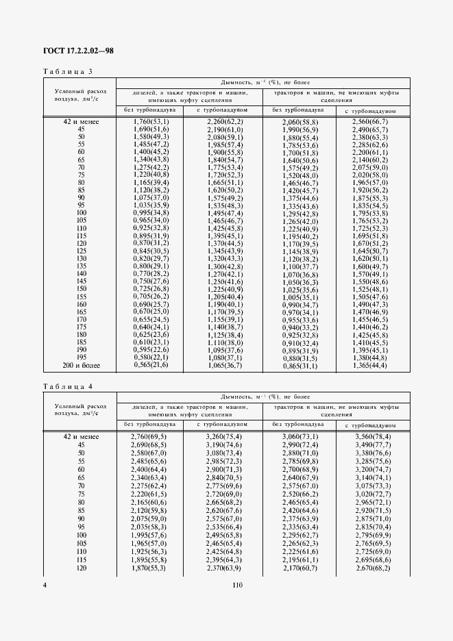
Настоящий стандарт распространяется на: вновь изготовленные и капитально отремонтированные на ремонтных предприятиях дизели тракторов и самоходных сельскохозяйственных машин; сельскохозяйственные, промышленные, лесопромышленные и лесохозяйственные дизельные тракторы, в том числе используемые в качестве базы для строительно-дорожных машин и машин, применяемых в коммунальном и лесном хозяйстве, а также тракторные самоходные дизельные шасси; самоходные сельскохозяйственные дизельные машины; находящиеся в эксплуатации тракторы и машины, предназначенные для работы или работающие в условиях неограниченного и ограниченного воздухообмена, - и устанавливает нормы и методы определения дымности отработавших газов. Стандарт не распространяется на малогабаритные тракторы, другие мобильные средства малой механизации сельскохозяйственных работ и дизели к ним
Связи и замены
Заменяющий:
-
Взамен:
ГОСТ 17.2.2.02-86
Описание стандарта
ГОСТ 17.2.2.02-98 Охрана природы. Атмосфера. Нормы и методы определения дымности отработавших газов дизелей, тракторов и самоходных сельскохозяйственных машин
Страницы стандарта














