ГОСТ 31345-2007 Сеялки тракторные. Методы испытаний
ГОСТ
Скачать ГОСТ в PDF или DOC бесплатно
Основная информация
Обозначение:
ГОСТ 31345-2007
Статус:
Заменен
Тип:
ГОСТ
Название русское:
Сеялки тракторные. Методы испытаний
Название английское:
Tractor seeders. Test methods
Даты и сроки
Дата регистрации:
06-08-07
Дата издания:
01-14-08
Дата введения в действие:
01-01-09
Дата завершения срока действия:
06-01-19
Применение и описание
Область и условия применения:
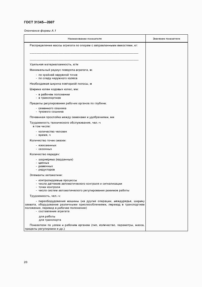
Настоящий стандарт распространяется на тракторные сеялки и приспособления к ним, предназначенные для посева зерновых, зернобобовых культур, семян льна, конопли, трав, овощных и бахчевых культур, сахарной свеклы, подсолнечника, кукурузы, хлопчатника, клещевины, арахиса, сои, сорго, а также комбинированные посевные машины для высева вышеперечисленных культур с одновременным внесением минеральных удобрений, и устанавливает методы испытания вышеперечисленных типов машин для всех видов испытаний
Связи и замены
Заменяющий:
ГОСТ 31345-2017
Описание стандарта
ГОСТ 31345-2007 Сеялки тракторные. Методы испытаний
Страницы стандарта
























































