ГОСТ Р 52759-2007 Машины для внесения твердых органических удобрений. Методы испытаний
ГОСТ Р
Скачать ГОСТ в PDF или DOC бесплатно
Основная информация
Обозначение:
ГОСТ Р 52759-2007
Статус:
Отменен
Тип:
ГОСТ Р
Название русское:
Машины для внесения твердых органических удобрений. Методы испытаний
Название английское:
Dry fertilizer-spreading machinery. Test methods
Даты и сроки
Дата издания:
12-17-07
Дата введения в действие:
01-01-09
Дата завершения срока действия:
01-01-18
Применение и описание
Область и условия применения:
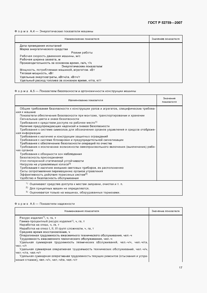
Настоящий стандарт распространяется на машины для сплошного поверхностного внесения удобрений, внесения удобрений в междурядья, для локального внесения удобрений в гряды, валкователи-разбрасыватели удобрений из куч и устанавливает методы их испытаний
Связи и замены
Заменяющий:
-
Изменения и переиздания
Список изменений:
№0 от (рег. ) «Текстовое изменение; Изменено заглавие»
Описание стандарта
ГОСТ Р 52759-2007 Машины для внесения твердых органических удобрений. Методы испытаний
Страницы стандарта






































