ГОСТ Р 54780-2011 Машины для товарной обработки плодов. Методы испытаний
ГОСТ Р
Скачать ГОСТ в PDF или DOC бесплатно
Основная информация
Обозначение:
ГОСТ Р 54780-2011
Статус:
Отменен
Тип:
ГОСТ Р
Название русское:
Машины для товарной обработки плодов. Методы испытаний
Название английское:
Machines for goods processing fruit. Test methods
Даты и сроки
Дата издания:
07-22-20
Дата введения в действие:
03-01-12
Дата завершения срока действия:
01-01-24
Применение и описание
Область и условия применения:
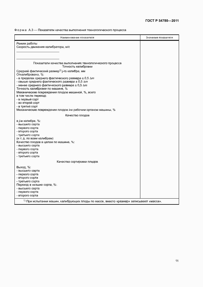
Настоящий стандарт распространяется на машины, оборудование, линии для сортировки и калибровки семечковых, косточковых и цитрусовых плодов и устанавливает методы их испытаний
Связи и замены
Заменяющий:
-
Описание стандарта
ГОСТ Р 54780-2011 Машины для товарной обработки плодов. Методы испытаний
Страницы стандарта






















