ГОСТ Р 54782-2011 Машины кормоуборочные. Методы испытаний
ГОСТ Р
Скачать ГОСТ в PDF или DOC бесплатно
Основная информация
Обозначение:
ГОСТ Р 54782-2011
Статус:
Действует
Тип:
ГОСТ Р
Название русское:
Машины кормоуборочные. Методы испытаний
Название английское:
Forage harvesting machine. Test methods
Даты и сроки
Дата издания:
12-08-20
Дата введения в действие:
03-01-12
Дата завершения срока действия:
-
Применение и описание
Область и условия применения:
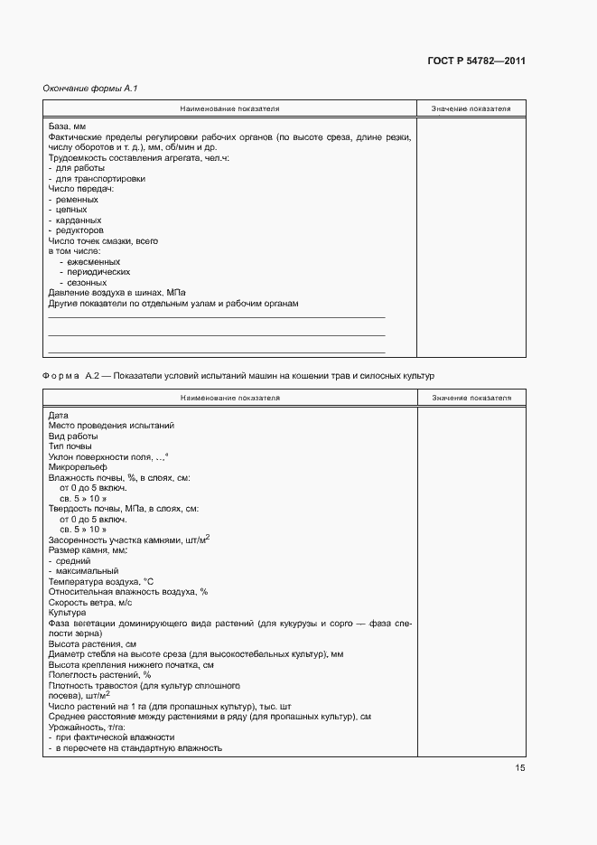
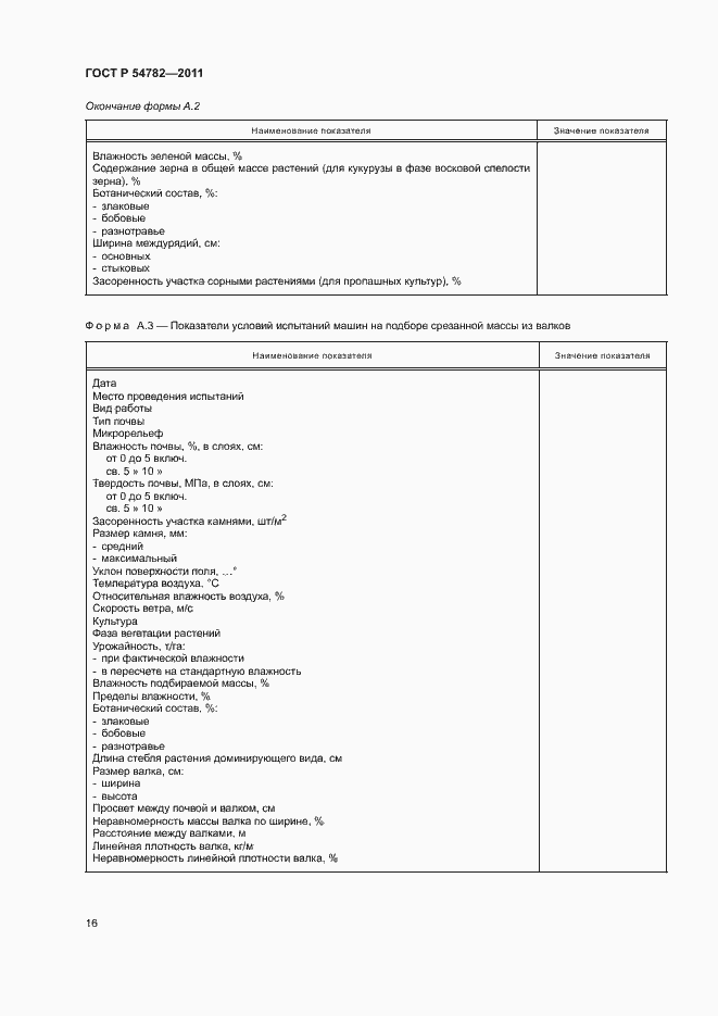
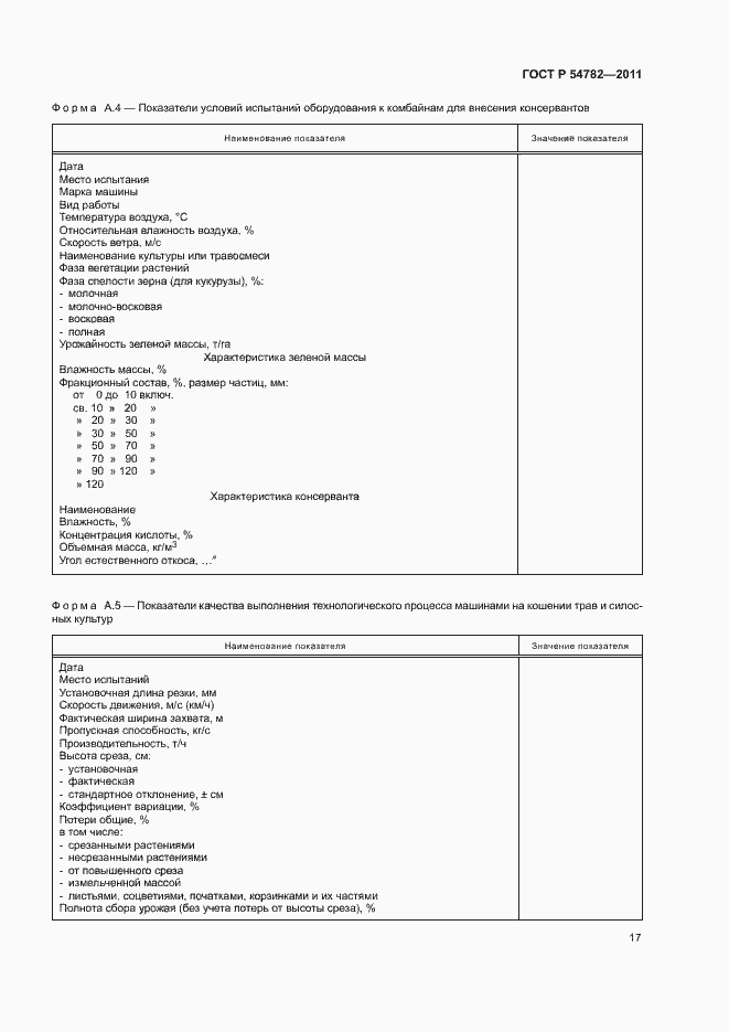
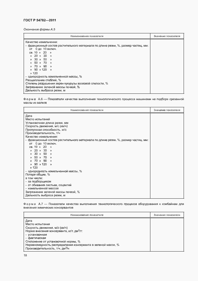
Настоящий стандарт распространяется на комбайны кормоуборочные, силосоуборочные, косилки-измельчители, оборудование к комбайнам для внесения в зеленую массу химических консервантов. Настоящий стандарт устанавливает методы испытаний вышеперечисленных типов машин
Связи и замены
Заменяющий:
-
Описание стандарта
ГОСТ Р 54782-2011 Машины кормоуборочные. Методы испытаний
Страницы стандарта















































