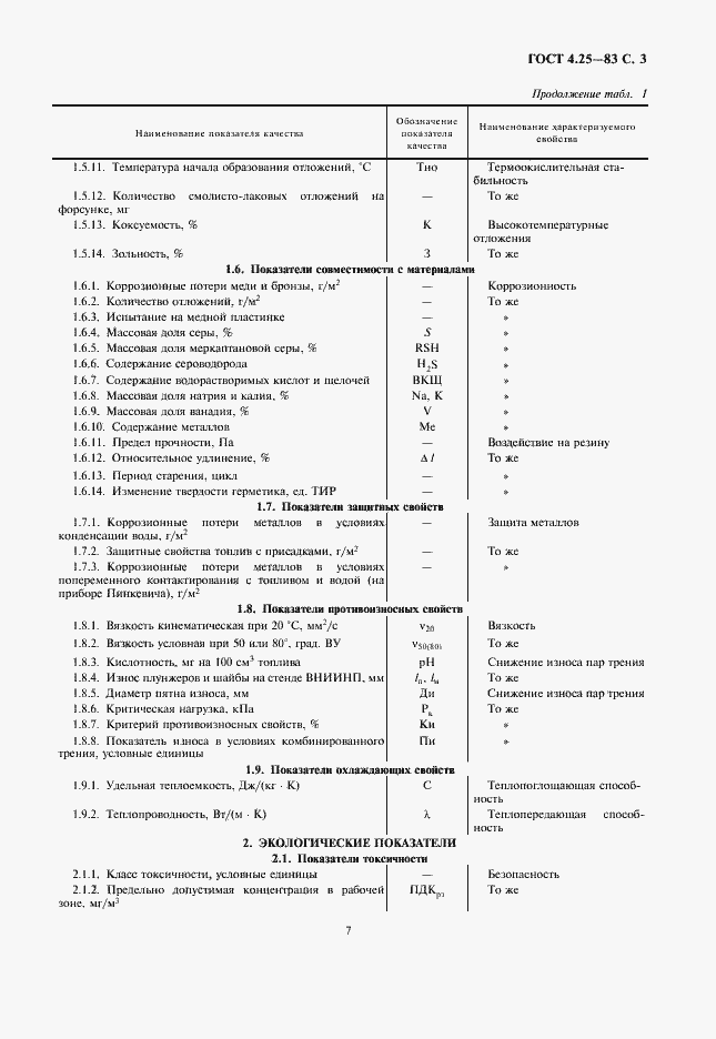
ГОСТ 4.25-83 Система показателей качества продукции. Нефтепродукты. Топлива жидкие. Номенклатура показателей
ГОСТ
Скачать ГОСТ в PDF или DOC бесплатно
Основная информация
Обозначение:
ГОСТ 4.25-83
Статус:
Действует
Тип:
ГОСТ
Название русское:
Система показателей качества продукции. Нефтепродукты. Топлива жидкие. Номенклатура показателей
Название английское:
Product-quality index system. Petroleum products. Liquid fuels. Index nomenclature
Даты и сроки
Дата издания:
08-02-10
Дата введения в действие:
06-30-84
Дата завершения срока действия:
-
Применение и описание
Область и условия применения:
Настоящий стандарт распространяется на нефтяные жидкие топлива и устанавливает номенклатуру показателей качества
Связи и замены
Заменяющий:
-
Взамен:
ГОСТ 4.25-71
Описание стандарта
ГОСТ 4.25-83 Система показателей качества продукции. Нефтепродукты. Топлива жидкие. Номенклатура показателей
Страницы стандарта














