ГОСТ EN 15749-2013 Удобрения. Определение содержания сульфатов тремя разными методами
ГОСТ ЕН
Скачать ГОСТ в PDF или DOC бесплатно
Основная информация
Обозначение:
ГОСТ EN 15749-2013
Статус:
Действует
Тип:
ГОСТ ЕН
Название русское:
Удобрения. Определение содержания сульфатов тремя разными методами
Название английское:
Fertilizers. Determination of sulfates content using three different methods
Даты и сроки
Дата издания:
12-09-20
Дата введения в действие:
01-01-15
Дата завершения срока действия:
-
Применение и описание
Область и условия применения:
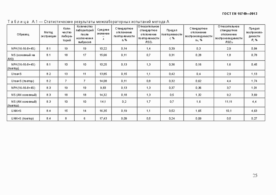
Настоящий стандарт устанавливает три разных метода (А, В и C) определения серы, присутствующей в экстрактах удобрений в форме сульфатов. Метод A устанавливает гравиметрический метод. Метод В устанавливает метод с использованием оптико-эмиссионной спектроскопии с индуктивно-связанной плазмой (ICP-OES). Метод С устанавливает метод с использованием ионной хроматографии (IС)
Связи и замены
Заменяющий:
-
Описание стандарта
ГОСТ EN 15749-2013 Удобрения. Определение содержания сульфатов тремя разными методами
Страницы стандарта



































