ГОСТ 32195-2013 Корма, комбикорма. Метод определения содержания аминокислот
ГОСТ
Скачать ГОСТ в PDF или DOC бесплатно
Основная информация
Обозначение:
ГОСТ 32195-2013
Статус:
Действует
Тип:
ГОСТ
Название русское:
Корма, комбикорма. Метод определения содержания аминокислот
Название английское:
Feeds, compound feeds. Method for determination of amino acids
Даты и сроки
Дата регистрации:
11-14-13
Дата издания:
07-22-20
Дата введения в действие:
07-01-15
Дата завершения срока действия:
-
Применение и описание
Область и условия применения:
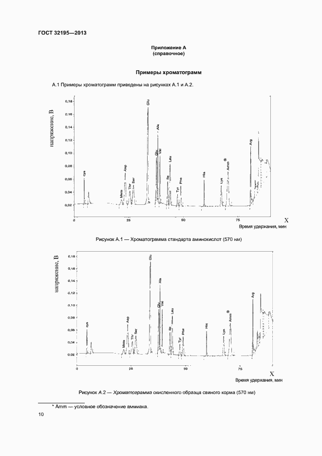
Настоящий стандарт распространяется на корма, комбикорма, премиксы и устанавливает метод определения содержания свободных (синтетических и натуральных) аминокислот и общего содержания (свободных и связанных форм в сумме) отдельных аминокислот с применением аминокислотного анализатора или ВЭЖХ оборудования
Связи и замены
Заменяющий:
-
Описание стандарта
ГОСТ 32195-2013 Корма, комбикорма. Метод определения содержания аминокислот
Страницы стандарта























