ГОСТ 31628-2012 Продукты пищевые и продовольственное сырье. Инверсионно-вольтамперометрический метод определения массовой концентрации мышьяка
ГОСТ
Скачать ГОСТ в PDF или DOC бесплатно
Основная информация
Обозначение:
ГОСТ 31628-2012
Статус:
Действует
Тип:
ГОСТ
Название русское:
Продукты пищевые и продовольственное сырье. Инверсионно-вольтамперометрический метод определения массовой концентрации мышьяка
Название английское:
Food-stuffs and food raw materials. Anodic stripping voltammetric method of arsenic mass concentration determination
Даты и сроки
Дата регистрации:
05-24-12
Дата издания:
09-22-14
Дата введения в действие:
07-01-13
Дата завершения срока действия:
-
Применение и описание
Область и условия применения:
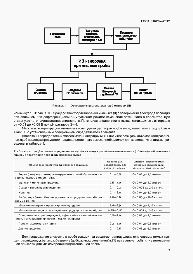
Настоящий стандарт распространяется на пищевые продукты и продовольственное сырье, включая продукты детского питания, за исключением алкогольных напитков и биологически активных добавок к пище, и устанавливает инверсионно-вольтамперометрический метод определения в них массовой концентрации мышьяка
Связи и замены
Заменяющий:
-
Описание стандарта
ГОСТ 31628-2012 Продукты пищевые и продовольственное сырье. Инверсионно-вольтамперометрический метод определения массовой концентрации мышьяка
Страницы стандарта



















Приложение №1: Поправка к ГОСТ 31628-2012 Обозначение: Поправка к ГОСТ 31628-2012 Дата введения в действие: 19.06.2019
