ГОСТ 32014-2012 Продукты пищевые, продовольственное сырье. Метод определения остаточного содержания метаболитов нитрофуранов с помощью высокоэффективной жидкостной хроматографии с масс-спектрометрическим детектором
ГОСТ
Скачать ГОСТ в PDF или DOC бесплатно
Основная информация
Обозначение:
ГОСТ 32014-2012
Статус:
Действует
Тип:
ГОСТ
Название русское:
Продукты пищевые, продовольственное сырье. Метод определения остаточного содержания метаболитов нитрофуранов с помощью высокоэффективной жидкостной хроматографии с масс-спектрометрическим детектором
Название английское:
Food products, food raw materials. Method of determination of the nitrofuran mytobolites by high performance liquid chromatography - mass spectrometry (HPLC-MS)
Даты и сроки
Дата регистрации:
12-03-12
Дата издания:
11-21-13
Дата введения в действие:
07-01-14
Дата завершения срока действия:
-
Применение и описание
Область и условия применения:
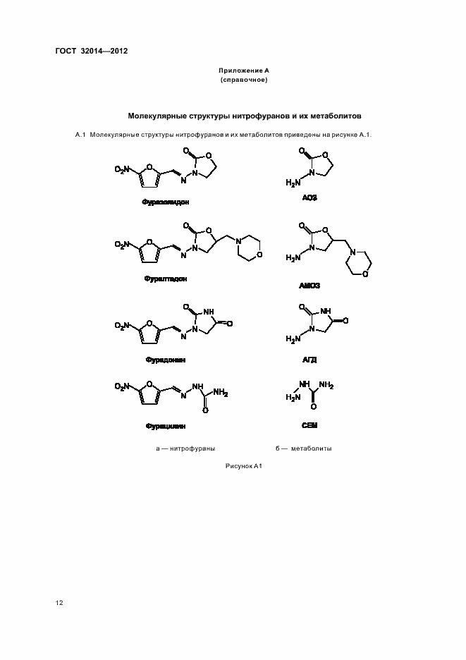
Настоящий стандарт распространяется на молоко, молочные продукты, яйца, яичный порошок, мясо и мясные продукты, включая мясо и продукты из мяса птицы, мед, креветки и устанавливает метод высокоэффективной жидкостной хроматографии с масс-спектрометрическим детектированием для определения остаточного содержания метаболитов нитрофуранов в диапазоне измерений от 1,0 до 1000,0 мкг/кг
Приложение №3:
Изменение №1 к ГОСТ 32014-2012 Обозначение: Изменение №1 к ГОСТ 32014-2012 Дата введения в действие: 01.03.2017
Приложение №4:
Поправка к ГОСТ 32014-2012 Обозначение: Поправка к ГОСТ 32014-2012 Дата введения в действие: 20.04.2017
Приложение №5:
Поправка к ГОСТ 32014-2012 Обозначение: Поправка к ГОСТ 32014-2012 Дата введения в действие: 05.09.2017
Связи и замены
Заменяющий:
-
Изменения и переиздания
Список изменений:
№0 от (рег. ) «Дата введения перенесена» №0 от (рег. ) «Дата введения перенесена» №0 от (рег. ) «» №1 от (рег. ) «Текстовое изменение; Изменены ссылочные НД»
Описание стандарта
ГОСТ 32014-2012 Продукты пищевые, продовольственное сырье. Метод определения остаточного содержания метаболитов нитрофуранов с помощью высокоэффективной жидкостной хроматографии с масс-спектрометрическим детектором
Страницы стандарта

























Приложение №1: Изменение к ГОСТ 32014-2012. Поправка; Изменены ссылочные НД Обозначение: Изменение к ГОСТ 32014-2012. Поправка; Изменены ссылочные НД Дата введения в действие: 24.08.2018

Приложение №2: Изменение к ГОСТ 32014-2012. Текстовое изменение; Изменены ссылочные НД Обозначение: Изменение к ГОСТ 32014-2012. Текстовое изменение; Изменены ссылочные НД Дата введения в действие: 01.03.2017

Приложение №3: Изменение №1 к ГОСТ 32014-2012 Обозначение: Изменение №1 к ГОСТ 32014-2012 Дата введения в действие: 01.03.2017

Приложение №4: Поправка к ГОСТ 32014-2012 Обозначение: Поправка к ГОСТ 32014-2012 Дата введения в действие: 20.04.2017

Приложение №5: Поправка к ГОСТ 32014-2012 Обозначение: Поправка к ГОСТ 32014-2012 Дата введения в действие: 05.09.2017

Приложение №6: Поправка к ГОСТ 32014-2012 Обозначение: Поправка к ГОСТ 32014-2012 Дата введения в действие: 13.03.2020

Приложение №7: Поправка к ГОСТ 32014-2012 Обозначение: Поправка к ГОСТ 32014-2012 Дата введения в действие: 11.12.2019
