ГОСТ Р 56931-2016 Продукты пищевые и продовольственное сырье. Вольтамперометрический метод определения содержания ртути
ГОСТ Р
Скачать ГОСТ в PDF или DOC бесплатно
Основная информация
Обозначение:
ГОСТ Р 56931-2016
Статус:
Действует
Тип:
ГОСТ Р
Название русское:
Продукты пищевые и продовольственное сырье. Вольтамперометрический метод определения содержания ртути
Название английское:
Foodstuffs and food raw materials. Voltammetric method of mercury determination
Даты и сроки
Дата издания:
06-14-16
Дата введения в действие:
07-01-17
Дата завершения срока действия:
-
Применение и описание
Область и условия применения:
Настоящий стандарт распространяется на пищевые продукты и продовольственное сырье и устанавливает вольтамперометрический метод определения содержания ртути
Связи и замены
Заменяющий:
-
Описание стандарта
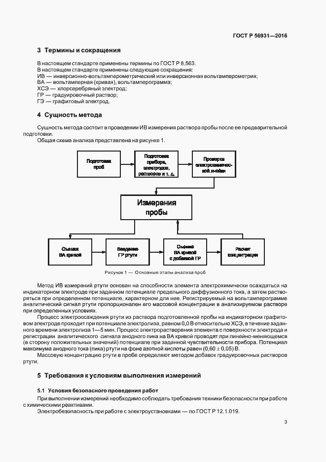
ГОСТ Р 56931-2016 Продукты пищевые и продовольственное сырье. Вольтамперометрический метод определения содержания ртути
Страницы стандарта


















