ГОСТ Р 53991-2010 Продукты пищевые, корма, продовольственное сырье. Методы определения содержания полихлорированных бифенилов
ГОСТ Р
Скачать ГОСТ в PDF или DOC бесплатно
Основная информация
Обозначение:
ГОСТ Р 53991-2010
Статус:
Отменен
Тип:
ГОСТ Р
Название русское:
Продукты пищевые, корма, продовольственное сырье. Методы определения содержания полихлорированных бифенилов
Название английское:
Food products, feeds, food raw materials. Method for determination of polychlorinated biphenyls
Даты и сроки
Дата издания:
12-15-11
Дата введения в действие:
01-01-12
Дата завершения срока действия:
02-15-15
Применение и описание
Область и условия применения:
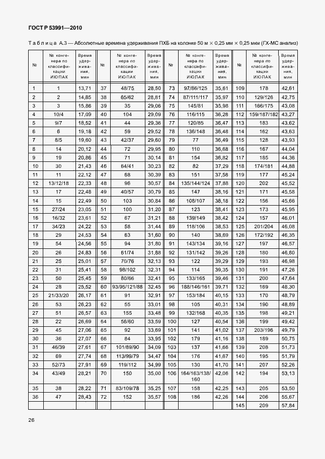
Настоящий стандарт распространяется на продукты пищевые, корма и продовольственное сырье и устанавливает методы газожидкостной хроматографии с детектором электронного захвата и газожидкостной хроматографии с масс-спектрометрическим детектором для идентификации и количественного определения маркерных и диоксиноподобных полихлорированных бифенилов. Диапазон измерений для диоксиноподобных ПХБ от 2,0 до 2500,0 нг/кг, для маркерных ПХБ - от 1,0 до 1500,0 мкг/кг
Связи и замены
Заменяющий:
-
Изменения и переиздания
Список изменений:
№0 от (рег. ) «Текстовое изменение; Изменено заглавие»
Описание стандарта
ГОСТ Р 53991-2010 Продукты пищевые, корма, продовольственное сырье. Методы определения содержания полихлорированных бифенилов
Страницы стандарта



































