ГОСТ 10417-88 Бобы кормовые. Требования при заготовках и поставках
ГОСТ
Скачать ГОСТ в PDF или DOC бесплатно
Основная информация
Обозначение:
ГОСТ 10417-88
Статус:
Утратил силу в РФ
Тип:
ГОСТ
Название русское:
Бобы кормовые. Требования при заготовках и поставках
Название английское:
Morse beans. Requirements for state purchases and deliveries
Даты и сроки
Дата издания:
03-01-02
Дата введения в действие:
06-30-90
Дата завершения срока действия:
01-01-13
Применение и описание
Область и условия применения:
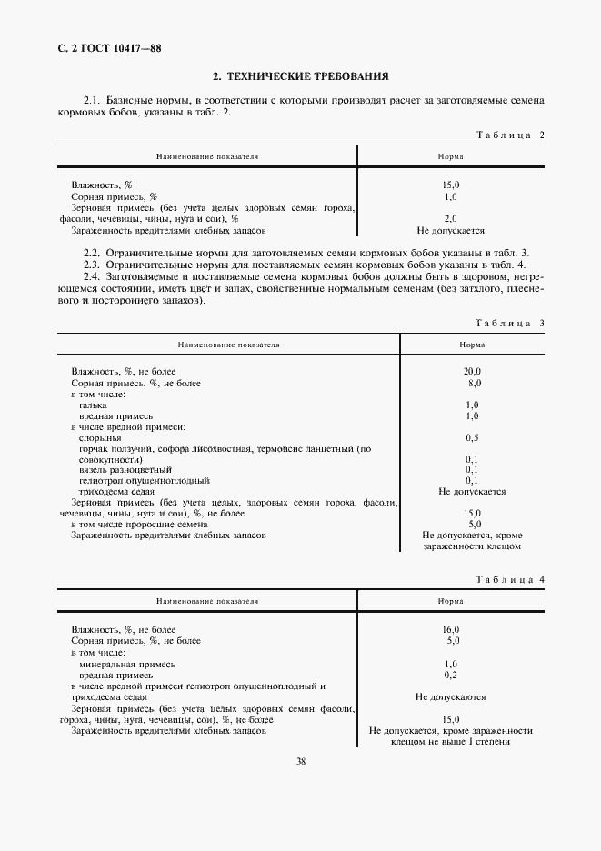
Настоящий стандарт распространяется на семена кормовых бобов, заготовляемые и поставляемые государственной системой для переработки на комбикорма и на кормовые цели
Связи и замены
Заменяющий:
-
Взамен:
ГОСТ 10417-74
Изменения и переиздания
Список изменений:
№0 от (рег. ) «Поправка к изменению»
Описание стандарта
ГОСТ 10417-88 Бобы кормовые. Требования при заготовках и поставках
Страницы стандарта



