ГОСТ 19327-84 Концентраты пищевые. Первые и вторые обеденные блюда. Общие технические условия
ГОСТ
Скачать ГОСТ в PDF или DOC бесплатно
Основная информация
Обозначение:
ГОСТ 19327-84
Статус:
Действует
Тип:
ГОСТ
Название русское:
Концентраты пищевые. Первые и вторые обеденные блюда. Общие технические условия
Название английское:
Food concentrates. First and second dinner courses. General specifications
Даты и сроки
Дата издания:
04-01-03
Дата введения в действие:
01-01-86
Дата завершения срока действия:
-
Применение и описание
Область и условия применения:
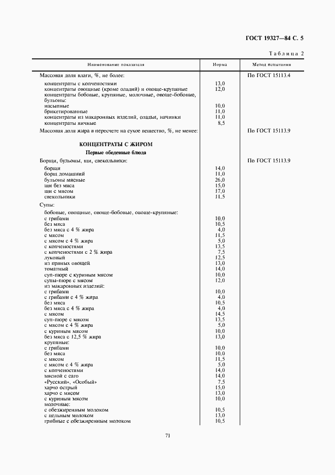
Настоящий стандарт распространяется на пищевые концентраты первых и вторых обеденных блюд, представляющие собой различные смеси предварительно подготовленных продуктов без жира или с жиром, без добавления или с добавлением мяса, грибов, копченостей, молока, сахара, сушеных фруктов, пряностей, гидролизатов, глутамината натрия и других обогатителей пищи, выпускаемые в насыпном или брикетированном виде
Связи и замены
Заменяющий:
-
Взамен в части:
ГОСТ 19327-73 в части разд. 1, 2, 3, 5
Изменения и переиздания
Список изменений:
№1 от (рег. ) «Срок действия продлен» №2 от (рег. ) «Срок действия продлен» №3 от (рег. ) «Срок действия продлен» №4 от (рег. ) «Срок действия продлен»
Описание стандарта
ГОСТ 19327-84 Концентраты пищевые. Первые и вторые обеденные блюда. Общие технические условия
Страницы стандарта





















