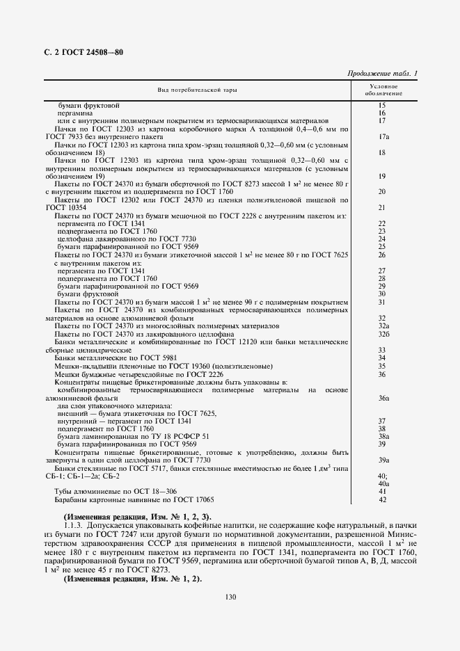
ГОСТ 24508-80 Концентраты пищевые. Упаковка, маркировка, транспортирование и хранение
ГОСТ
Скачать ГОСТ в PDF или DOC бесплатно
Основная информация
Обозначение:
ГОСТ 24508-80
Статус:
Действует
Тип:
ГОСТ
Название русское:
Концентраты пищевые. Упаковка, маркировка, транспортирование и хранение
Название английское:
Food concentrates. Packing, marking, transportation and storage
Даты и сроки
Дата издания:
04-01-03
Дата введения в действие:
06-30-83
Дата завершения срока действия:
-
Применение и описание
Область и условия применения:
Настоящий стандарт распространяется на пищевые концентраты и устанавливает общие требования к упаковке, маркировке, транспортированию и хранению. Настоящий стандарт не распространяется на пряности и продукты сублимационной сушки толокно и овсяные хлопья "Геркулес"
Связи и замены
Заменяющий:
-
Взамен в части:
ГОСТ 18488-73 в части упаковки, маркировки, транспортирования и хранения; ГОСТ 19327-84 в части упаковки, маркировки, транспортирования и хранения; ГОСТ 21149-75 в части упаковки, маркировки, транспортирования и хранения; ГОСТ 2929-75 в части упаковки, маркировки, транспортирования и хранения; ГОСТ 6805-66 в части упаковки, маркировки, транспортирования и хранения
Изменения и переиздания
Список изменений:
№0 от (рег. ) «Срок действия продлен» №1 от (рег. ) «Срок действия продлен» №2 от (рег. ) «Срок действия продлен» №3 от (рег. ) «Срок действия продлен»
Описание стандарта
ГОСТ 24508-80 Концентраты пищевые. Упаковка, маркировка, транспортирование и хранение
Страницы стандарта











