ГОСТ 25832-89 Изделия хлебобулочные диетические. Технические условия
ГОСТ
Скачать ГОСТ в PDF или DOC бесплатно
Основная информация
Обозначение:
ГОСТ 25832-89
Статус:
Действует
Тип:
ГОСТ
Название русское:
Изделия хлебобулочные диетические. Технические условия
Название английское:
Dietic bread products. Specifications
Даты и сроки
Дата издания:
12-01-08
Дата введения в действие:
06-30-90
Дата завершения срока действия:
-
Применение и описание
Область и условия применения:
Настоящий стандарт распространяется на хлебобулочные диетические изделия, предназначенные для лечебного и профилактического питания
Связи и замены
Заменяющий:
-
Взамен:
ГОСТ 25832-83;ГОСТ 26024-83;ОСТ 18-253-75
Изменения и переиздания
Список изменений:
№1 от (рег. ) «Срок действия продлен»
Описание стандарта
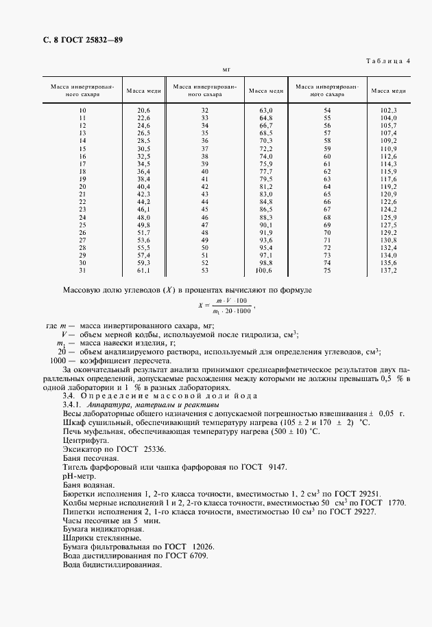
ГОСТ 25832-89 Изделия хлебобулочные диетические. Технические условия
Страницы стандарта














