ГОСТ 8759-92 Сорго. Требования при заготовках и поставках
ГОСТ
Скачать ГОСТ в PDF или DOC бесплатно
Основная информация
Обозначение:
ГОСТ 8759-92
Статус:
Действует
Тип:
ГОСТ
Название русское:
Сорго. Требования при заготовках и поставках
Название английское:
Sorghum. Requirements for state purchases and deliveries
Даты и сроки
Дата издания:
04-28-10
Дата введения в действие:
06-01-97
Дата завершения срока действия:
-
Применение и описание
Область и условия применения:
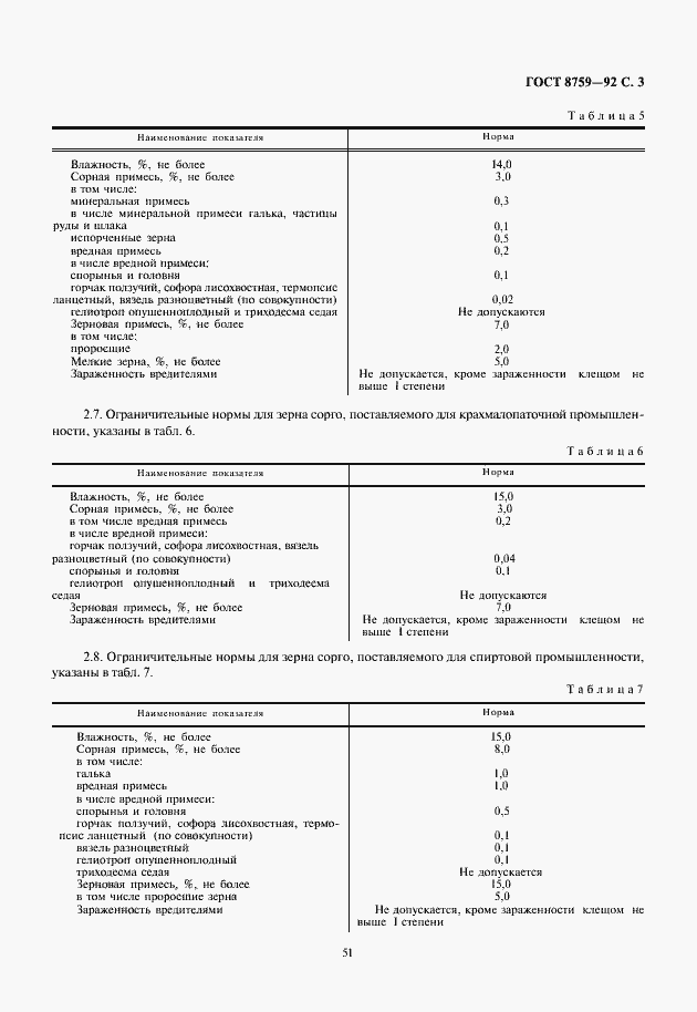
Настоящий стандарт распространяется на зерно сорго, заготовляемое государственной заготовительной системой и поставляемое на продовольственные, кормовые цели и для переработки в комбикорма
Связи и замены
Заменяющий:
-
Взамен:
ГОСТ 8759-74
Изменения и переиздания
Список изменений:
№0 от (рег. ) «Утратил силу в РФ» №0 от (рег. ) «Поправка к изменению»
Описание стандарта
ГОСТ 8759-92 Сорго. Требования при заготовках и поставках
Страницы стандарта







