ГОСТ ISO 6646-2013 Рис. Определение максимально возможного выхода шелушеного и шлифованного риса
ГОСТ ИСО
Скачать ГОСТ в PDF или DOC бесплатно
Основная информация
Обозначение:
ГОСТ ISO 6646-2013
Статус:
Действует
Тип:
ГОСТ ИСО
Название русское:
Рис. Определение максимально возможного выхода шелушеного и шлифованного риса
Название английское:
Rice. Determination of the potential milling yield from paddy and from husked rice
Даты и сроки
Дата регистрации:
11-14-13
Дата издания:
12-05-19
Дата введения в действие:
07-01-15
Дата завершения срока действия:
-
Применение и описание
Область и условия применения:
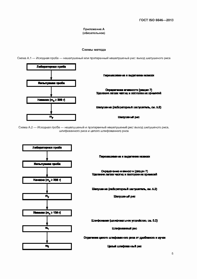
Настоящий стандарт устанавливает лабораторный метод определения выхода шелушеного риса, полученного из нешелушеного или пропаренного нешелушеного риса (Oryza sativa L.), определения выхода шлифованного риса, полученного из нешелушеного или пропаренного нешелушеного риса, а также из шелушеного или пропаренного шелушеного риса
Связи и замены
Заменяющий:
-
Описание стандарта
ГОСТ ISO 6646-2013 Рис. Определение максимально возможного выхода шелушеного и шлифованного риса
Страницы стандарта











