ГОСТ Р ИСО 11051-2021 Пшеница твердая (Triticum durum Desf.). Технические условия
ГОСТ Р ИСО
Скачать ГОСТ в PDF или DOC бесплатно
Основная информация
Обозначение:
ГОСТ Р ИСО 11051-2021
Статус:
Действует
Тип:
ГОСТ Р ИСО
Название русское:
Пшеница твердая (Triticum durum Desf.). Технические условия
Название английское:
Durum wheat (Triticum durum Desf.). Specification
Даты и сроки
Дата издания:
01-31-22
Дата введения в действие:
03-01-22
Дата завершения срока действия:
-
Применение и описание
Область и условия применения:
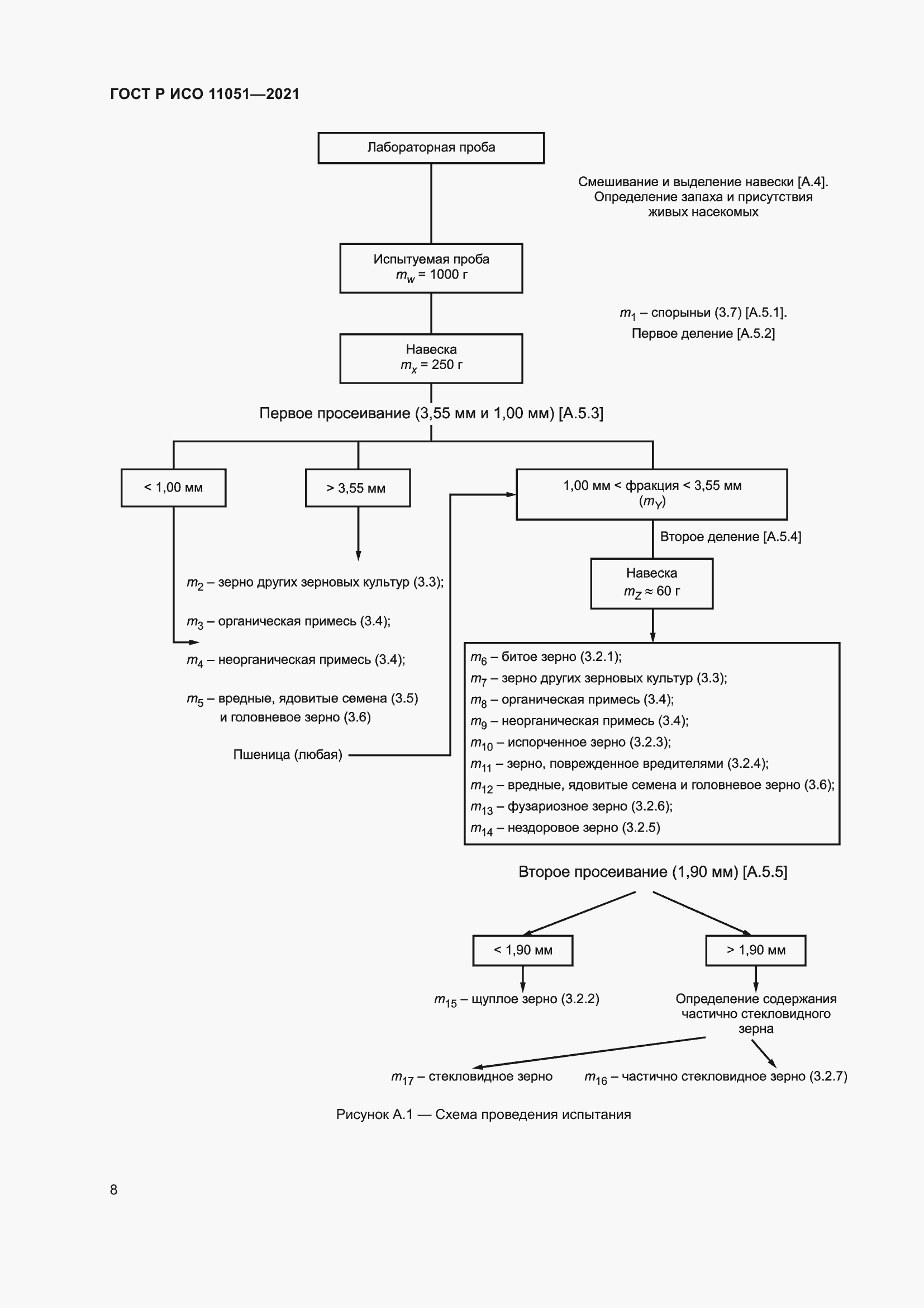
Настоящий стандарт устанавливает основные требования к твердой пшенице (Triticum durum Desf.), предназначенной на продовольственные цели и являющейся объектом международной торговли, а также к методам определения содержания примесей (приложение A), частично стекловидного зерна (приложение B) и содержит перечень наиболее распространенных насекомых - вредителей хлебных запасов (приложение С) и справочный перечень вредных и ядовитых семян (приложение D)
Связи и замены
Заменяющий:
-
Описание стандарта
ГОСТ Р ИСО 11051-2021 Пшеница твердая (Triticum durum Desf.). Технические условия
Страницы стандарта















