ГОСТ 18224-72 Консервы. Вторые обеденные блюда. Технические условия
ГОСТ
Скачать ГОСТ в PDF или DOC бесплатно
Основная информация
Обозначение:
ГОСТ 18224-72
Статус:
Заменен
Тип:
ГОСТ
Название русское:
Консервы. Вторые обеденные блюда. Технические условия
Название английское:
Canned foods. Second course dinner dishes Specifications
Даты и сроки
Дата издания:
11-01-07
Дата введения в действие:
01-01-74
Дата завершения срока действия:
07-01-15
Применение и описание
Область и условия применения:
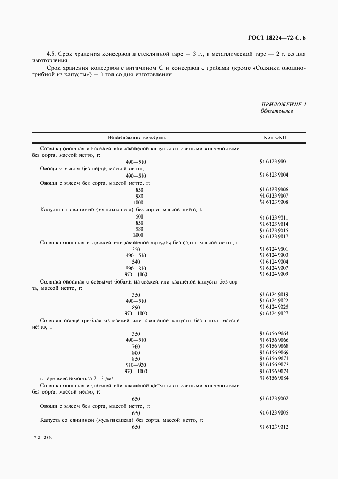
Настоящий стандарт распространяется на консервы, приготовленные из свежих, соленых или квашеных овощей со свиным жиром или растительным маслом, с добавлением или без добавления копченостей, мяса, грибов, бобовых, картофеля, крупы, томатной пасты, соли, сахара, аскорбиновой кислоты и пряностей, фасованные в герметически укупоренную тару и стерилизованные
Связи и замены
Заменяющий:
ГОСТ 18224-2013
Изменения и переиздания
Список изменений:
№1 от (рег. ) «Срок действия продлен» №2 от (рег. ) «Срок действия продлен» №3 от (рег. ) «Поправка» №4 от (рег. ) «Поправка»
Описание стандарта
ГОСТ 18224-72 Консервы. Вторые обеденные блюда. Технические условия
Страницы стандарта









