ГОСТ 18077-2013 Консервы. Соусы фруктовые. Технические условия
ГОСТ
Скачать ГОСТ в PDF или DOC бесплатно
Основная информация
Обозначение:
ГОСТ 18077-2013
Статус:
Действует
Тип:
ГОСТ
Название русское:
Консервы. Соусы фруктовые. Технические условия
Название английское:
Canned food. Fruit sauces. Specifications
Даты и сроки
Дата регистрации:
06-27-13
Дата издания:
12-06-19
Дата введения в действие:
07-01-15
Дата завершения срока действия:
-
Применение и описание
Область и условия применения:
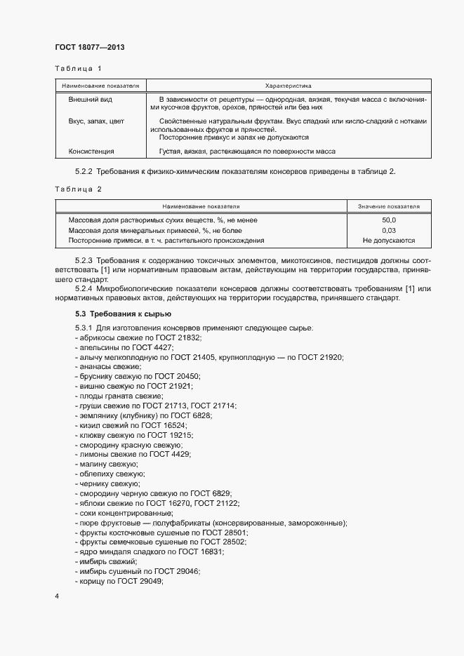
Настоящий стандарт распространяется на фруктовые соусы, изготовленные из свежих, быстрозамороженных фруктов или фруктовых полуфабрикатов, с добавлением сахара, пектина, пищевых кислот, с добавлением или без добавления глюкозно-фруктозной патоки, пряностей, орехов, предназначенные для реализации в розничной торговле и использования в сети общественного питания
Связи и замены
Заменяющий:
-
Взамен:
ГОСТ 18077-72
Описание стандарта
ГОСТ 18077-2013 Консервы. Соусы фруктовые. Технические условия
Страницы стандарта














