ГОСТ 33276-2015 Продукция соковая. Методы определения относительной плотности
ГОСТ
Скачать ГОСТ в PDF или DOC бесплатно
Основная информация
Обозначение:
ГОСТ 33276-2015
Статус:
Действует
Тип:
ГОСТ
Название русское:
Продукция соковая. Методы определения относительной плотности
Название английское:
Juice products. Methods for determination of relative density
Даты и сроки
Дата регистрации:
06-18-15
Дата издания:
02-18-16
Дата введения в действие:
01-01-17
Дата завершения срока действия:
-
Применение и описание
Область и условия применения:
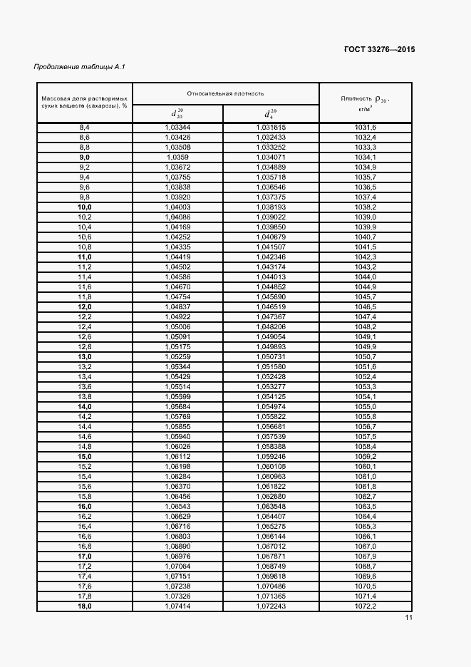
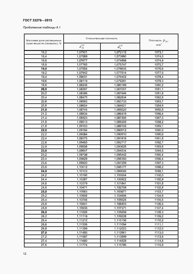
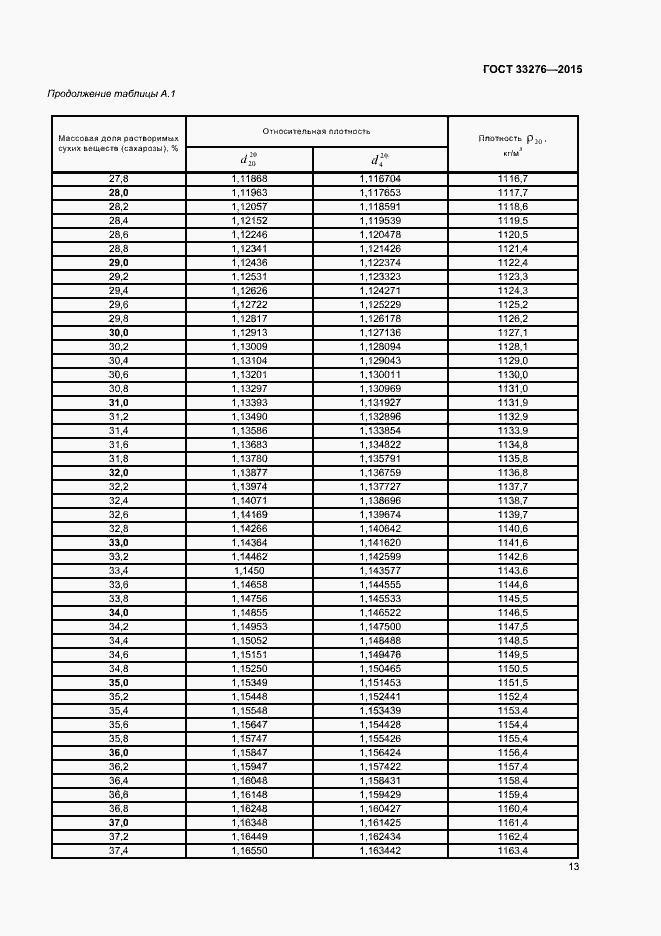
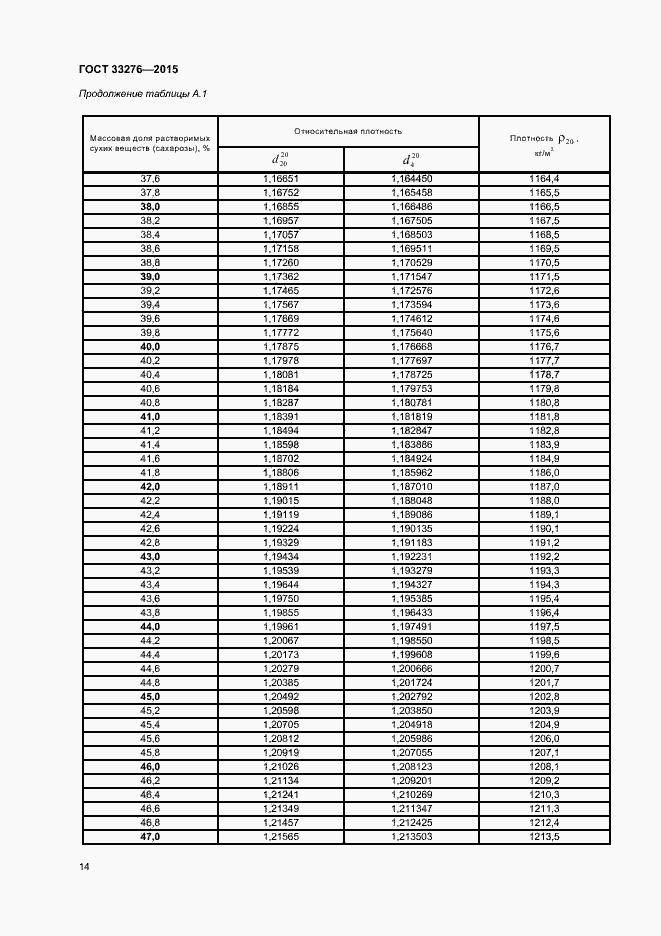
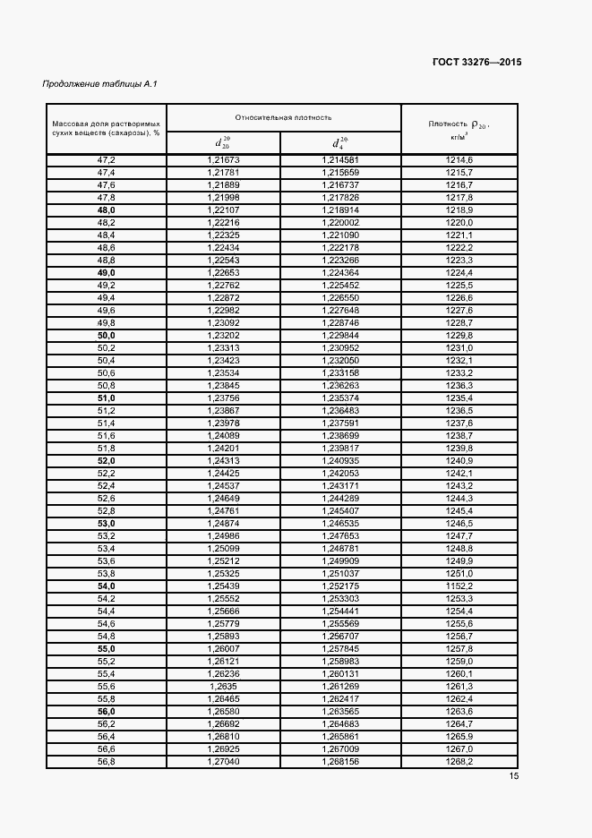
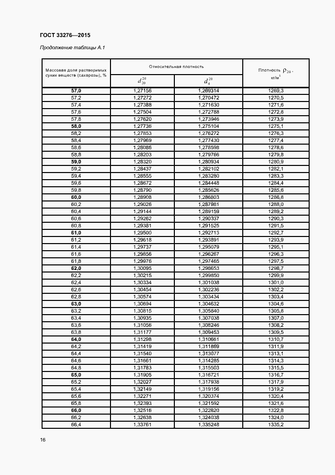
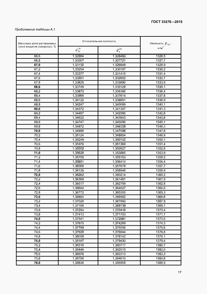
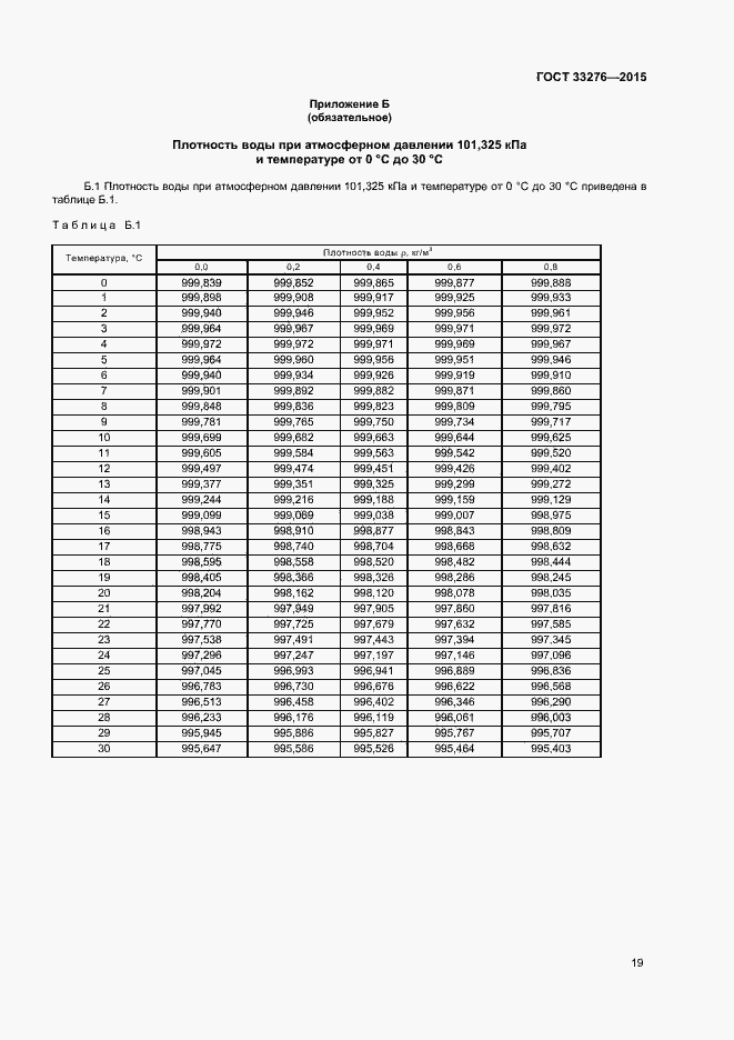
Настоящий стандарт распространяется на фруктовые и овощные соки, нектары, сокосодержащие напитки, фруктовые и овощные концентрированные соки, пюре и концентрированные пюре, морсы и концентрированные морсы (далее - соковая продукция) и устанавливает: - пикнометрический метод определения (измерения) относительной плотности d в диапазоне от 1,0000 до 1,4000 и определения массовой доли растворимых сухих веществ в диапазоне от 0,2 % до 80,0 % на основе полученных измерений; - метод определения (измерения) плотности с помощью цифрового плотномера в диапазоне от 1,0000 г/см куб (1000 кг/м куб) до 1,4000 г/см куб (1400 кг/м куб)
Связи и замены
Заменяющий:
-
Описание стандарта
ГОСТ 33276-2015 Продукция соковая. Методы определения относительной плотности
Страницы стандарта






















