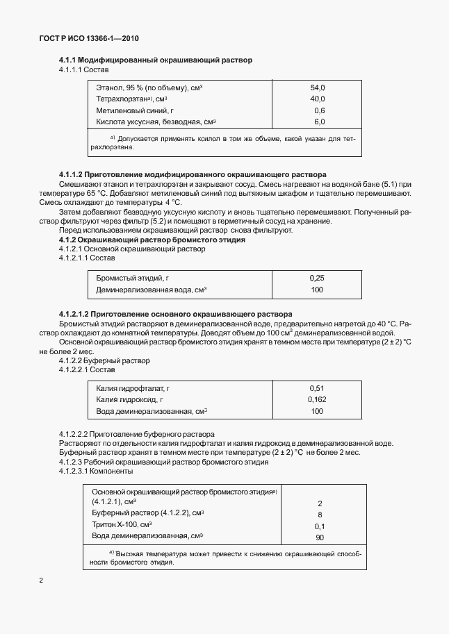
ГОСТ Р ИСО 13366-1-2010 Молоко. Подсчет соматических клеток. Часть 1. Метод с применением микроскопа (Контрольный метод)
ГОСТ Р ИСО
Скачать ГОСТ в PDF или DOC бесплатно
Основная информация
Обозначение:
ГОСТ Р ИСО 13366-1-2010
Статус:
Отменен
Тип:
ГОСТ Р ИСО
Название русское:
Молоко. Подсчет соматических клеток. Часть 1. Метод с применением микроскопа (Контрольный метод)
Название английское:
Milk. Enumeration of somatic cells. Part 1. Microscopic method (Reference method)
Даты и сроки
Дата издания:
10-20-11
Дата введения в действие:
01-01-12
Дата завершения срока действия:
07-01-17
Применение и описание
Область и условия применения:
Настоящий стандарт устанавливает метод подсчета соматических клеток с применением микроскопа в сыром и химически консервированном молоке. Стандарт допускается применять для подготовки стандартных проб при калибровке механизированных и автоматизированных способов подсчета клеток
Связи и замены
Заменяющий:
-
Изменения и переиздания
Список изменений:
№0 от (рег. ) «Текстовое изменение; Изменено заглавие»
Описание стандарта
ГОСТ Р ИСО 13366-1-2010 Молоко. Подсчет соматических клеток. Часть 1. Метод с применением микроскопа (Контрольный метод)
Страницы стандарта



















