ГОСТ 34372-2017 Закваски бактериальные для производства молочной продукции. Общие технические условия
ГОСТ
Скачать ГОСТ в PDF или DOC бесплатно
Основная информация
Обозначение:
ГОСТ 34372-2017
Статус:
Действует
Тип:
ГОСТ
Название русское:
Закваски бактериальные для производства молочной продукции. Общие технические условия
Название английское:
Bacterial starter cultures for the production of dairy products. General specifiсations
Даты и сроки
Дата регистрации:
11-30-17
Дата издания:
02-13-18
Дата введения в действие:
09-01-18
Дата завершения срока действия:
-
Применение и описание
Область и условия применения:
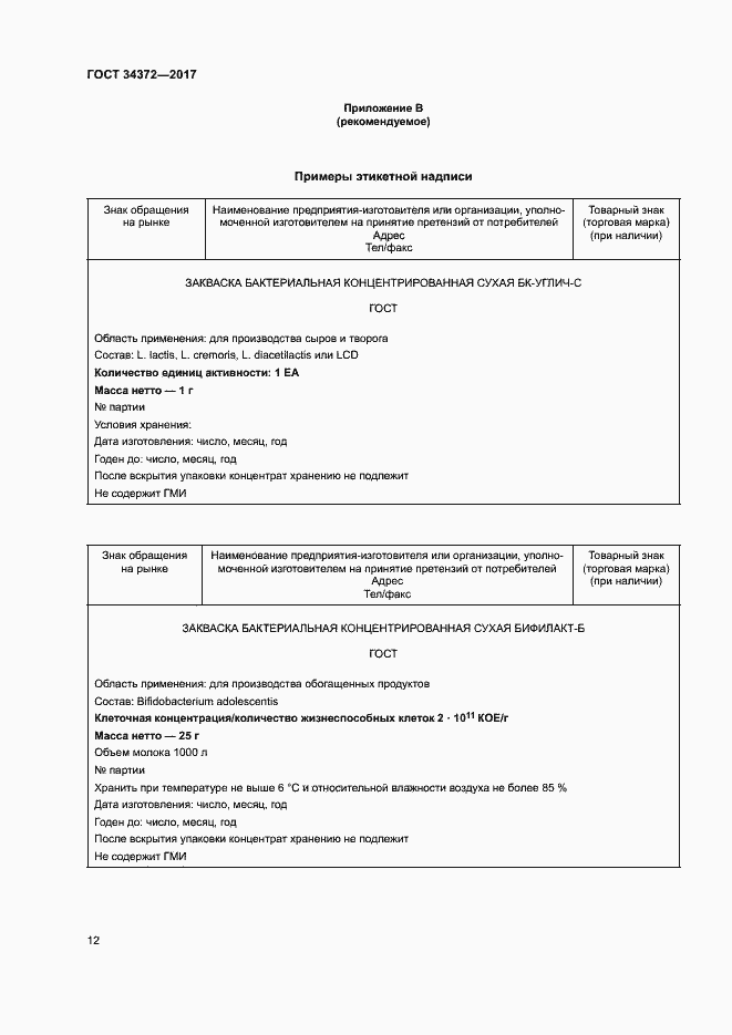
Настоящий стандарт распространяется на закваски бактериальные и закваски бактериальные концентрированные, представляющие собой жизнеспособные клетки молочнокислых, пропионовокислых, уксуснокислых и бифидобактерий, предназначенные для производства молочной продукции, а также приготовления производственной закваски
Связи и замены
Заменяющий:
-
Описание стандарта
ГОСТ 34372-2017 Закваски бактериальные для производства молочной продукции. Общие технические условия
Страницы стандарта





















