ГОСТ Р ИСО 15378-2014 Материалы для первичной упаковки лекарственных средств. Особые требования по применению ИСО 9001:2008 с учетом правил надлежащей производственной практики (GMP)
ГОСТ Р ИСО
Скачать ГОСТ в PDF или DOC бесплатно
Основная информация
Обозначение:
ГОСТ Р ИСО 15378-2014
Статус:
Действует
Тип:
ГОСТ Р ИСО
Название русское:
Материалы для первичной упаковки лекарственных средств. Особые требования по применению ИСО 9001:2008 с учетом правил надлежащей производственной практики (GMP)
Название английское:
Primary packaging materials for medicinal products. Particular requirements for the application of ISO 9001:2008, with reference to Good Manufacturing Practice (GMP)
Даты и сроки
Дата издания:
03-31-15
Дата введения в действие:
06-01-15
Дата завершения срока действия:
-
Применение и описание
Область и условия применения:
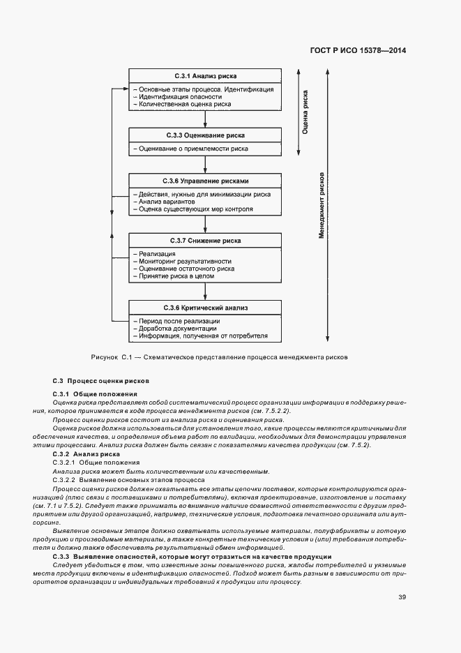
Настоящий стандарт устанавливает требования к системе менеджмента качества, когда организации требуется продемонстрировать свою способность поставлять первичные упаковочные материалы для лекарственных средств, систематически отвечающие требованиям потребителей, в том числе нормативным требованиям и требованиям международных стандартов, касающихся первичных упаковочных материалов. В настоящем стандарте термин «если это целесообразно» используется неоднократно. Когда требование квалифицируется этой фразой, оно считается «целесообразным», если организация не предоставит документированного доказательства противного. Настоящий стандарт устанавливает требования к системе менеджмента качества в тех случаях, когда организация: a) нуждается в демонстрации своей способности всегда поставлять продукцию, отвечающую требованиям потребителей и соответствующим обязательным требованиям; b) ставит своей целью повышение удовлетворенности потребителей посредством эффективного применения системы менеджмента качества, включая процессы постоянного ее улучшения, и обеспечение соответствия требованиям потребителей и соответствующим обязательным требованиям
Связи и замены
Заменяющий:
-
Описание стандарта
ГОСТ Р ИСО 15378-2014 Материалы для первичной упаковки лекарственных средств. Особые требования по применению ИСО 9001:2008 с учетом правил надлежащей производственной практики (GMP)
Страницы стандарта




















































