ГОСТ Р ИСО 22514-7-2014 Статистические методы. Управление процессами. Часть 7. Воспроизводимость процессов измерений
ГОСТ Р ИСО
Скачать ГОСТ в PDF или DOC бесплатно
Основная информация
Обозначение:
ГОСТ Р ИСО 22514-7-2014
Статус:
Заменен
Тип:
ГОСТ Р ИСО
Название русское:
Статистические методы. Управление процессами. Часть 7. Воспроизводимость процессов измерений
Название английское:
Statistical methods. Process management. Part 7. Capability of measurement processes
Даты и сроки
Дата издания:
05-29-20
Дата введения в действие:
12-01-15
Дата завершения срока действия:
01-01-25
Применение и описание
Область и условия применения:
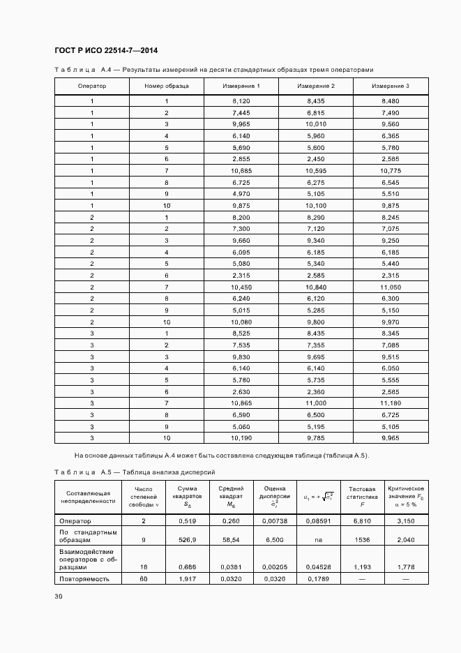
В настоящем стандарте установлена процедура валидации измерительной системы и процесса измерений на соответствие установленной метрологической задачи с рекомендованным критерием приемки. Критерий приемки определен в виде индекса воспроизводимости (Сms) или отношения воспроизводимости (Qms)
Связи и замены
Заменяющий:
ГОСТ Р ИСО 22514-7-2024
Описание стандарта
ГОСТ Р ИСО 22514-7-2014 Статистические методы. Управление процессами. Часть 7. Воспроизводимость процессов измерений
Страницы стандарта










































