ГОСТ 12292-2000 Консервы рыбные с растительными гарнирами. Технические условия
ГОСТ
Скачать ГОСТ в PDF или DOC бесплатно
Основная информация
Обозначение:
ГОСТ 12292-2000
Статус:
Действует
Тип:
ГОСТ
Название русское:
Консервы рыбные с растительными гарнирами. Технические условия
Название английское:
Canned garnished fish with vegetables. Specifications
Даты и сроки
Дата регистрации:
10-18-00
Дата издания:
11-01-08
Дата введения в действие:
07-01-02
Дата завершения срока действия:
-
Применение и описание
Область и условия применения:
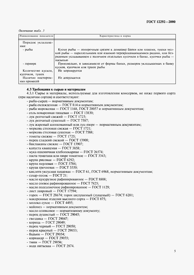
Настоящий стандарт распространяется на консервы, изготовленные из сырой или термически обработанной рыбы с добавлением гарнира из овощей, бобовых, круп и макаронных изделий
Связи и замены
Заменяющий:
-
Взамен:
ГОСТ 12292-66
Описание стандарта
ГОСТ 12292-2000 Консервы рыбные с растительными гарнирами. Технические условия
Страницы стандарта











Приложение №1: Поправка к ГОСТ 12292-2000 Обозначение: Поправка к ГОСТ 12292-2000 Дата введения в действие: 18.06.2019
