ГОСТ 16079-2002 Рыбы сиговые соленые. Технические условия
ГОСТ
Скачать ГОСТ в PDF или DOC бесплатно
Основная информация
Обозначение:
ГОСТ 16079-2002
Статус:
Заменен
Тип:
ГОСТ
Название русское:
Рыбы сиговые соленые. Технические условия
Название английское:
Salted whitefishes. Specifications
Даты и сроки
Дата регистрации:
04-12-02
Дата издания:
09-01-07
Дата введения в действие:
01-01-04
Дата завершения срока действия:
02-01-19
Применение и описание
Область и условия применения:
Настоящий стандарт распространяется на соленую рыбу семейства сиговых следующих родов: - сиги (Coregonus); - нельмы (Stenodus)
Связи и замены
Заменяющий:
ГОСТ 16079-2017
Взамен:
ГОСТ 16079-70
Изменения и переиздания
Список изменений:
№0 от (рег. ) «Дата введения перенесена»
Описание стандарта
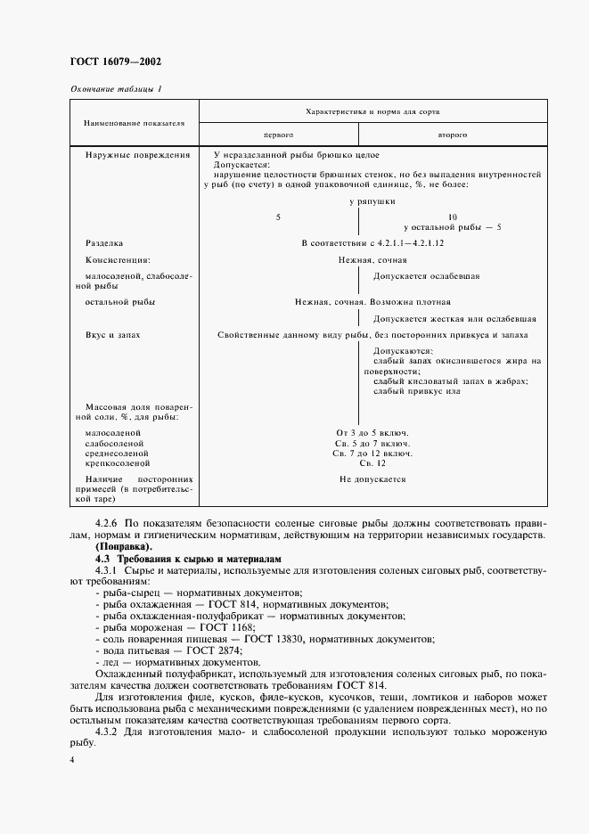
ГОСТ 16079-2002 Рыбы сиговые соленые. Технические условия
Страницы стандарта










Приложение №1: Поправка к ГОСТ 16079-2002 Обозначение: Поправка к ГОСТ 16079-2002 Дата введения в действие: 29.09.2004
