ГОСТ 16080-2002 Лососи дальневосточные соленые. Технические условия
ГОСТ
Скачать ГОСТ в PDF или DOC бесплатно
Основная информация
Обозначение:
ГОСТ 16080-2002
Статус:
Заменен
Тип:
ГОСТ
Название русское:
Лососи дальневосточные соленые. Технические условия
Название английское:
Salted far eastern salmons. Specifications
Даты и сроки
Дата регистрации:
05-30-02
Дата издания:
09-01-07
Дата введения в действие:
01-01-04
Дата завершения срока действия:
07-01-20
Применение и описание
Область и условия применения:
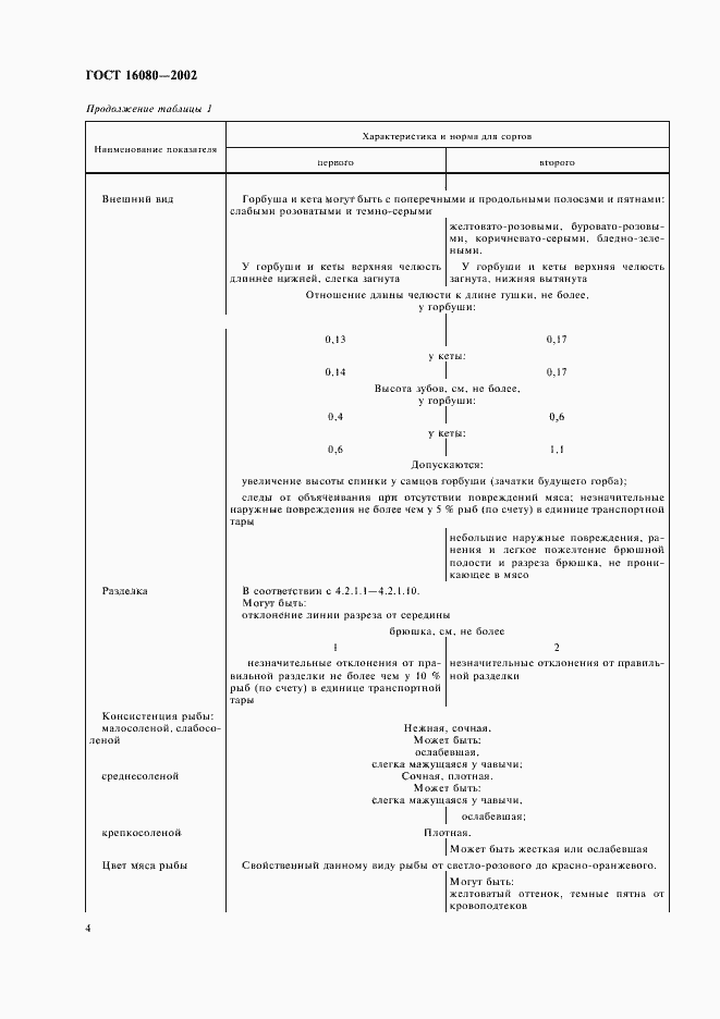
Настоящий стандарт распространяется на соленую рыбу следующих родов: гольцы (Salvelinus) и лососи тихоокеанские (Oncorhynchus) и (Parasalmo)
Связи и замены
Заменяющий:
ГОСТ 16080-2019
Взамен:
ГОСТ 16080-70
Описание стандарта
ГОСТ 16080-2002 Лососи дальневосточные соленые. Технические условия
Страницы стандарта











