ГОСТ Р ИСО 24153-2012 Статистические методы. Процедуры рандомизации и отбора случайной выборки
ГОСТ Р ИСО
Скачать ГОСТ в PDF или DOC бесплатно
Основная информация
Обозначение:
ГОСТ Р ИСО 24153-2012
Статус:
Действует
Тип:
ГОСТ Р ИСО
Название русское:
Статистические методы. Процедуры рандомизации и отбора случайной выборки
Название английское:
Statistical methods. Randomization and random sampling procedures
Даты и сроки
Дата издания:
10-20-20
Дата введения в действие:
12-01-13
Дата завершения срока действия:
-
Применение и описание
Область и условия применения:
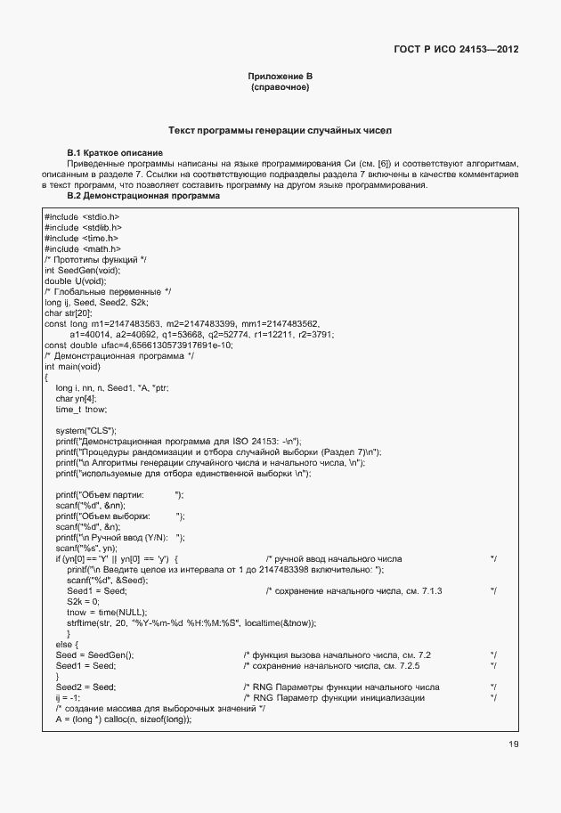
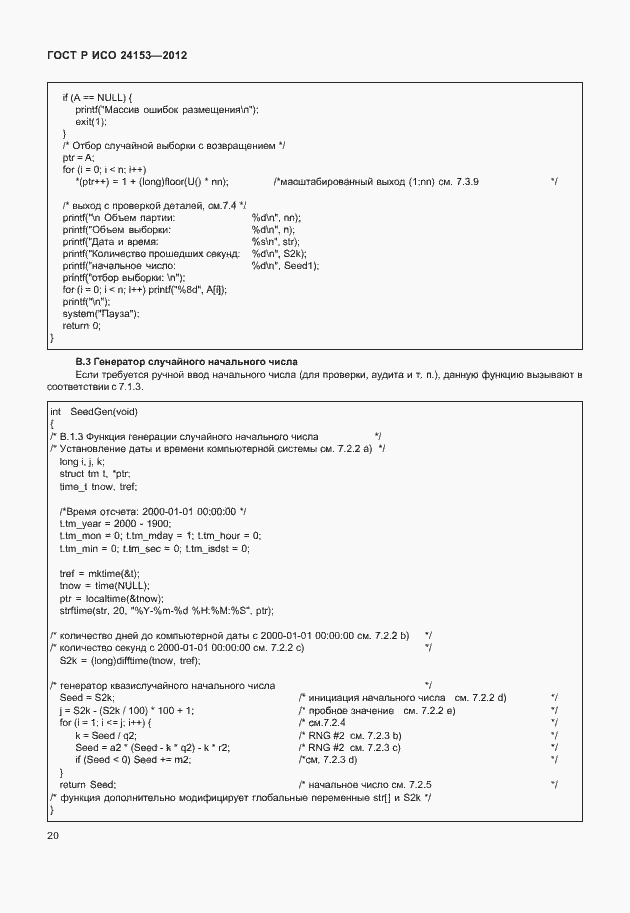
Настоящий стандарт устанавливает процедуры рандомизации и случайного отбора выборки. Представленные в стандарте процедуры охватывают методы, предусматривающие применение технических средств, таблиц случайных чисел, компьютерных программ. Для компьютерных программ приведены общее описание соответствующего алгоритма и текст программы. В настоящем стандарте представлены не все возможные способы применения процедур случайного отбора выборки и рандомизации и не все возможные стратегии отбора выборки и определения объема выборки. В соответствующих ситуациях следует использовать стандарты, перечисленные во введении
Связи и замены
Заменяющий:
-
Описание стандарта
ГОСТ Р ИСО 24153-2012 Статистические методы. Процедуры рандомизации и отбора случайной выборки
Страницы стандарта


































