ГОСТ 3945-78 Пресервы рыбные. Рыба пряного посола. Технические условия
ГОСТ
Скачать ГОСТ в PDF или DOC бесплатно
Основная информация
Обозначение:
ГОСТ 3945-78
Статус:
Действует
Тип:
ГОСТ
Название русское:
Пресервы рыбные. Рыба пряного посола. Технические условия
Название английское:
Fish preserves. Fish in spicial brine. Specifications
Даты и сроки
Дата издания:
11-01-08
Дата введения в действие:
01-01-79
Дата завершения срока действия:
-
Применение и описание
Область и условия применения:
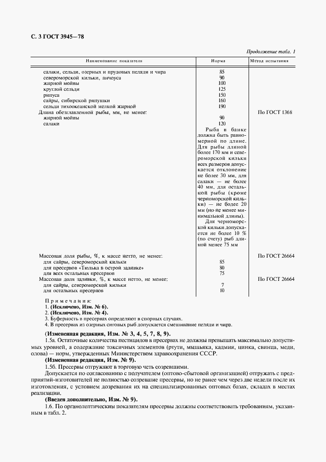
Настоящий стандарт распространяется на пресервы, приготовленные из неразделанной рыбы следующих видов: каспийской, балтийской и североморской кильки; салаки; анчоуса; тюльки; хамсы; атлантической, тихоокеанской мелкой, тихоокеанской мелкой (озерной), беломорской, азово-черноморской (мелкой и средней), тигуна и круглой сельди; жирной мойвы; озерных и прудовых пеляди и чира; кильки черноморской; сайры; рянушки и рипуса, а также из обезглавленной жирной мойвы и салаки
Связи и замены
Заменяющий:
-
Взамен:
ГОСТ 3945-68;ГОСТ 10980-64
Изменения и переиздания
Список изменений:
№1 от (рег. ) «Срок действия продлен» №2 от (рег. ) «Срок действия продлен» №3 от (рег. ) «Срок действия продлен» №4 от (рег. ) «Срок действия продлен» №5 от (рег. ) «Срок действия продлен» №6 от (рег. ) «Срок действия продлен» №7 от (рег. ) «Срок действия продлен» №8 от (рег. ) «Срок действия продлен» №9 от (рег. ) «Срок действия продлен»
Описание стандарта
ГОСТ 3945-78 Пресервы рыбные. Рыба пряного посола. Технические условия
Страницы стандарта







