ГОСТ 815-2004 Сельди соленые. Технические условия
ГОСТ
Скачать ГОСТ в PDF или DOC бесплатно
Основная информация
Обозначение:
ГОСТ 815-2004
Статус:
Заменен
Тип:
ГОСТ
Название русское:
Сельди соленые. Технические условия
Название английское:
Salted herrings. Specifications
Даты и сроки
Дата регистрации:
04-01-04
Дата издания:
01-01-08
Дата введения в действие:
07-01-05
Дата завершения срока действия:
07-01-20
Применение и описание
Область и условия применения:
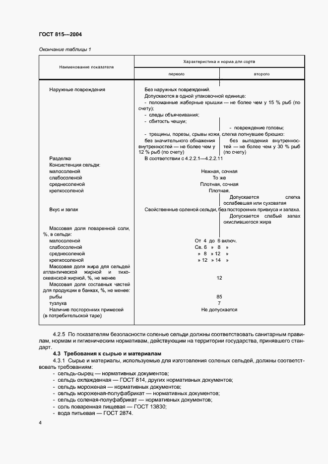
Настоящий стандарт распространяется на соленые сельди следующих биологических видов: азово-черноморскую (донскую, днепровскую, дунайскую, керченскую) - Alosa pontica; атлантическую - Clupea harengus; беломорскую - Clupea pallasii marisalbi; каспийский пузанок - Alosa caspia; бражниковскую - Alosa brashnikovi каспийскую черноспинку - Alosa kesseri kesseri; тихоокеанскую - Clupea pallasii
Связи и замены
Заменяющий:
ГОСТ 815-2019
Взамен:
ГОСТ 815-88
Описание стандарта
ГОСТ 815-2004 Сельди соленые. Технические условия
Страницы стандарта











