ГОСТ 9862-90 Пресервы рыбные. Сельдь специального посола. Технические условия
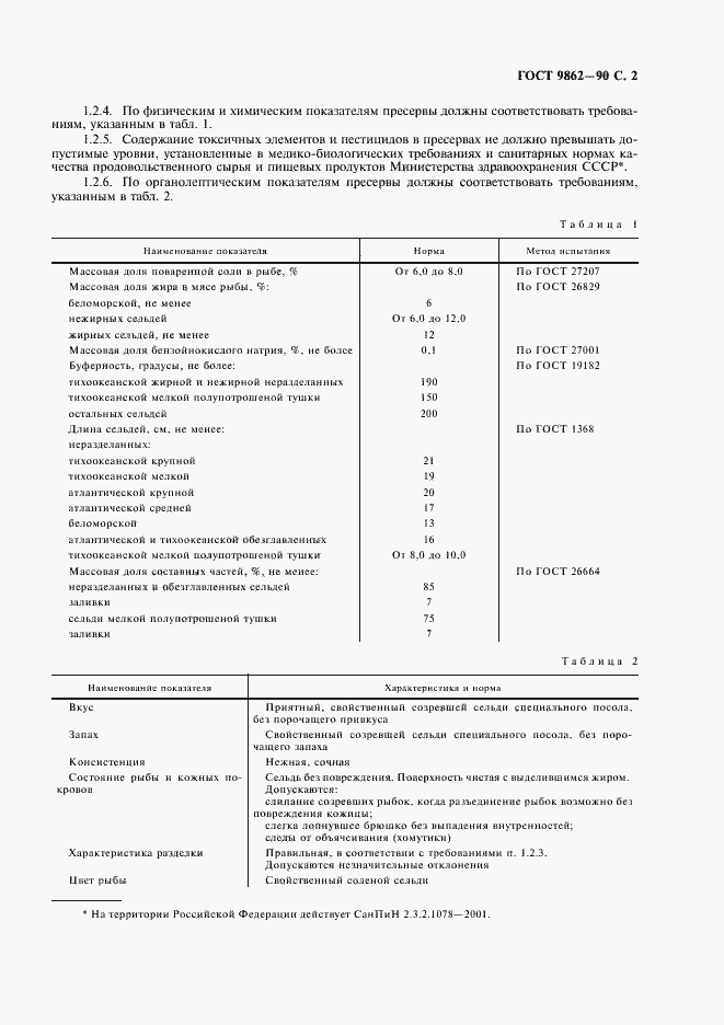
ГОСТ
Скачать ГОСТ в PDF или DOC бесплатно
Основная информация
Обозначение:
ГОСТ 9862-90
Статус:
Действует
Тип:
ГОСТ
Название русское:
Пресервы рыбные. Сельдь специального посола. Технические условия
Название английское:
Fish preserves. Special salted herring. Specifications
Даты и сроки
Дата издания:
01-01-09
Дата введения в действие:
01-01-92
Дата завершения срока действия:
-
Применение и описание
Область и условия применения:
Настоящий стандарт распространяется на пресервы специального посола, изготовленные из сельдей
Связи и замены
Заменяющий:
-
Взамен:
ГОСТ 9862-61
Описание стандарта
ГОСТ 9862-90 Пресервы рыбные. Сельдь специального посола. Технические условия
Страницы стандарта





