ГОСТ Р ИСО 11843-6-2015 Статистические методы. Способность обнаружения. Часть 6. Методология определения критического значения и минимального обнаруживаемого значения с применением аппроксимации распределения Пуассона нормальным распределением
ГОСТ Р ИСО
Скачать ГОСТ в PDF или DOC бесплатно
Основная информация
Обозначение:
ГОСТ Р ИСО 11843-6-2015
Статус:
Действует
Тип:
ГОСТ Р ИСО
Название русское:
Статистические методы. Способность обнаружения. Часть 6. Методология определения критического значения и минимального обнаруживаемого значения с применением аппроксимации распределения Пуассона нормальным распределением
Название английское:
Statistical methods. Capability of detection. Part 6. Methodology for the determination of the critical value and the minimum detectable value in Poisson distributed measurements by normal approximations
Даты и сроки
Дата издания:
11-15-19
Дата введения в действие:
12-01-16
Дата завершения срока действия:
-
Применение и описание
Область и условия применения:
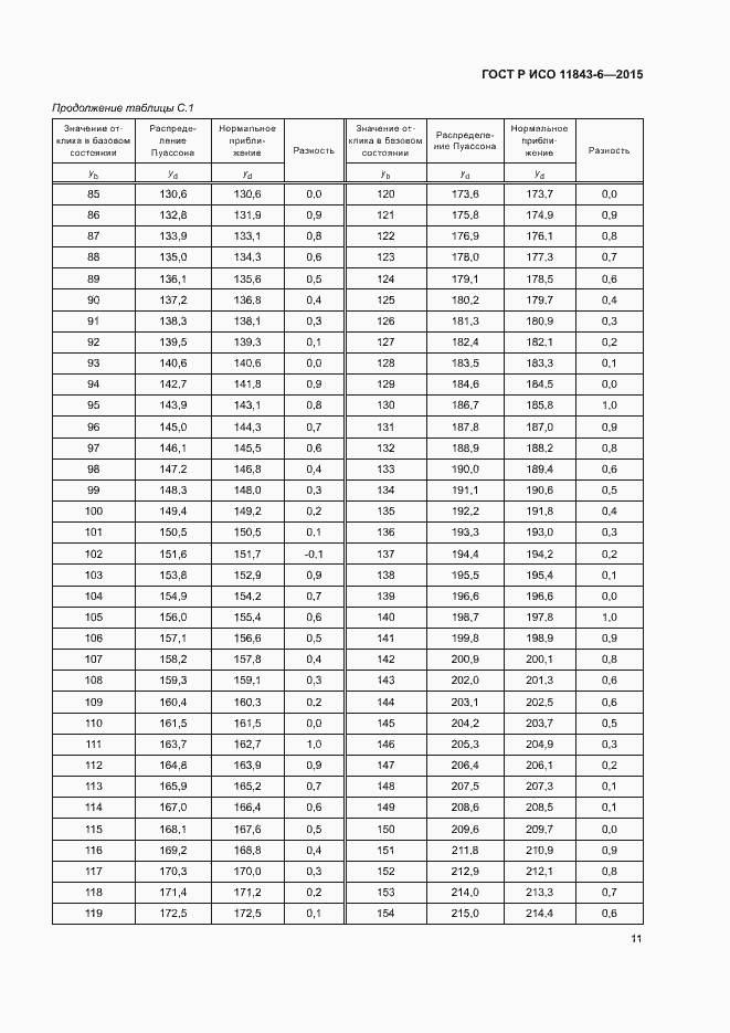
В настоящем стандарте установлены методики определения критического значения переменной отклика и минимального обнаруживаемого значения по результатам измерений, подчиняющихся распределению Пуассона. Стандарт применим в тех случаях, когда изменчивость фонового шума и сигнала могут быть описаны распределением Пуассона. Обычно для распределения Пуассона используют аппроксимацию в виде нормального распределения
Связи и замены
Заменяющий:
-
Описание стандарта
ГОСТ Р ИСО 11843-6-2015 Статистические методы. Способность обнаружения. Часть 6. Методология определения критического значения и минимального обнаруживаемого значения с применением аппроксимации распределения Пуассона нормальным распределением
Страницы стандарта























