ГОСТ Р ИСО 19011-2012 Руководящие указания по аудиту систем менеджмента
ГОСТ Р ИСО
Скачать ГОСТ в PDF или DOC бесплатно
Основная информация
Обозначение:
ГОСТ Р ИСО 19011-2012
Статус:
Заменен
Тип:
ГОСТ Р ИСО
Название русское:
Руководящие указания по аудиту систем менеджмента
Название английское:
Guidelines for auditing management systems
Даты и сроки
Дата издания:
07-20-18
Дата введения в действие:
02-01-13
Дата завершения срока действия:
07-01-21
Применение и описание
Область и условия применения:
Настоящий стандарт содержит руководящие указания по аудиту систем менеджмента, включая принципы аудита, управление программами аудита и проведение аудитов системы менеджмента, а также указания по оценке компетентности лиц, участвующих в процессе аудита, включая аудиторов, группы по аудиту и лиц, отвечающих за управление программой аудита. Настоящий стандарт предназначен для всех организаций, которым необходимо проводить внутренние или внешние аудиты систем менеджмента или управлять программой аудита. Положения настоящего стандарта могут применяться и для других типов аудита при условии, что будет уделено особое внимание вопросам, связанным с требуемым для этих целей уровнем специальной компетентности
Связи и замены
Заменяющий:
ГОСТ Р ИСО 19011-2021
Взамен:
ГОСТ Р ИСО 19011-2003
Описание стандарта
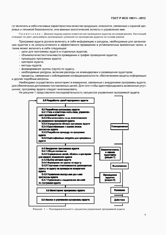
ГОСТ Р ИСО 19011-2012 Руководящие указания по аудиту систем менеджмента
Страницы стандарта









































