ГОСТ Р ИСО 22006-2012 Системы менеджмента качества. Руководящие указания по применению ИСО 9001:2008 в растениеводстве
ГОСТ Р ИСО
Скачать ГОСТ в PDF или DOC бесплатно
Основная информация
Обозначение:
ГОСТ Р ИСО 22006-2012
Статус:
Действует
Тип:
ГОСТ Р ИСО
Название русское:
Системы менеджмента качества. Руководящие указания по применению ИСО 9001:2008 в растениеводстве
Название английское:
Quality management systems. Guidelines for the application of ISO 9001:2008 to crop production
Даты и сроки
Дата издания:
07-02-20
Дата введения в действие:
01-01-13
Дата завершения срока действия:
-
Применение и описание
Область и условия применения:
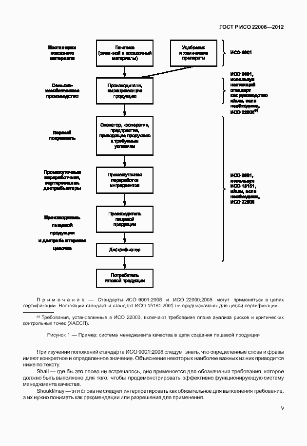
Настоящий стандарт содержит рекомендации с целью помочь производителям продукции растениеводства внедрить требования стандарта ИСО 9001:2008 для процессов, связанных с производством продукции растениеводства
Связи и замены
Заменяющий:
-
Описание стандарта
ГОСТ Р ИСО 22006-2012 Системы менеджмента качества. Руководящие указания по применению ИСО 9001:2008 в растениеводстве
Страницы стандарта









































































