ГОСТ 11482-88 Рыба холодного копчения. Технические условия
ГОСТ
Скачать ГОСТ в PDF или DOC бесплатно
Основная информация
Обозначение:
ГОСТ 11482-88
Статус:
Заменен
Тип:
ГОСТ
Название русское:
Рыба холодного копчения. Технические условия
Название английское:
Cold smoked fish. Specifications
Даты и сроки
Дата издания:
03-01-91
Дата введения в действие:
03-31-89
Дата завершения срока действия:
01-01-98
Применение и описание
Область и условия применения:
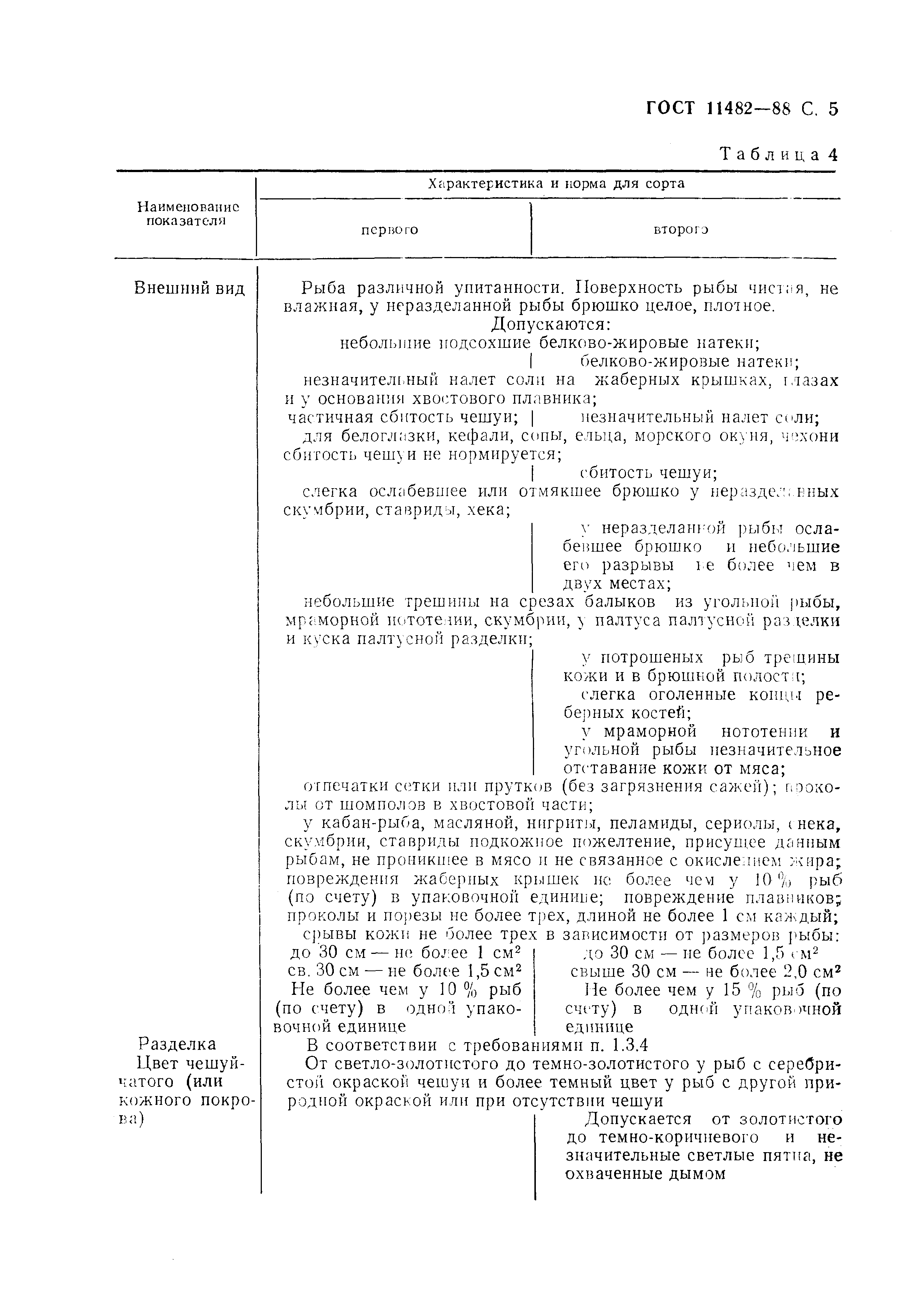
Настоящий стандарт распространяется на рыбу холодного копчения. 1. Технические требования 2. Приемка 3. Методы испытаний 4. Транспортирование и хранение
Связи и замены
Заменяющий:
ГОСТ 11482-96
Взамен:
ГОСТ 11482-73
Изменения и переиздания
Список изменений:
№1 от (рег. ) «Срок действия продлен»
Описание стандарта
ГОСТ 11482-88 Рыба холодного копчения. Технические условия
Страницы стандарта



















