ГОСТ 656-79 Соки плодовые и ягодные натуральные. Технические условия
ГОСТ
Скачать ГОСТ в PDF или DOC бесплатно
Основная информация
Обозначение:
ГОСТ 656-79
Статус:
Утратил силу в РФ
Тип:
ГОСТ
Название русское:
Соки плодовые и ягодные натуральные. Технические условия
Название английское:
Natural fruit and berry juices. Specifications
Даты и сроки
Дата издания:
01-01-02
Дата введения в действие:
01-01-80
Дата завершения срока действия:
01-01-05
Применение и описание
Область и условия применения:
Настоящий стандарт распространяется на натуральные соки, изготовленные из свежих или быстрозамороженных плодов и ягод или соков-полуфабрикатов, пастеризованные или стерилизованные
Связи и замены
Заменяющий:
-
Взамен:
ГОСТ 656-70
Изменения и переиздания
Список изменений:
№0 от (рег. ) «Поправка к изменению» №1 от (рег. ) «Срок действия продлен» №2 от (рег. ) «Срок действия продлен» №3 от (рег. ) «Срок действия продлен» №4 от (рег. ) «Поправка» №5 от (рег. ) «Срок действия продлен»
Описание стандарта
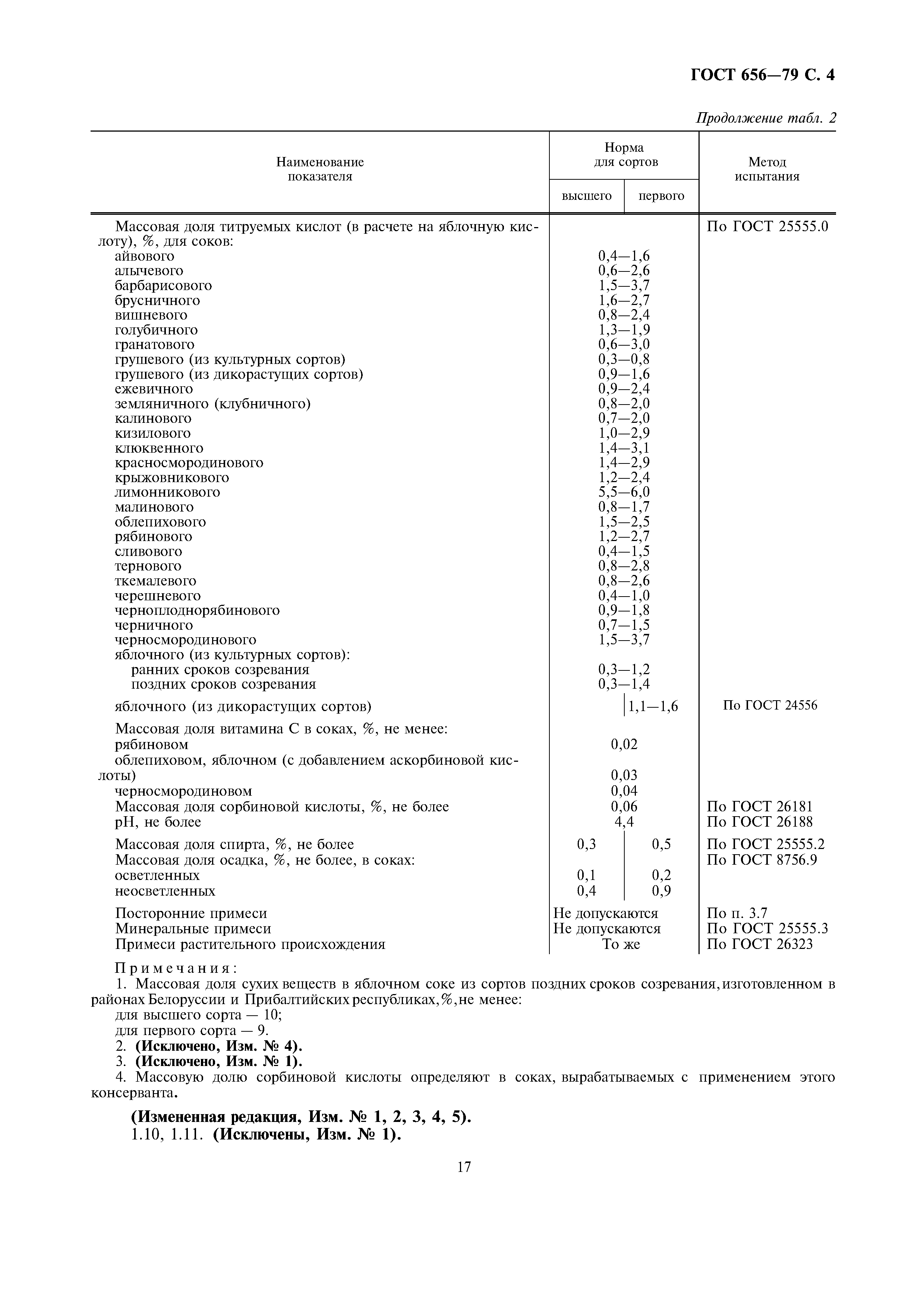
ГОСТ 656-79 Соки плодовые и ягодные натуральные. Технические условия
Страницы стандарта














