ГОСТ Р 51431-99 Продукция соковая. Метод определения относительной плотности
ГОСТ Р
Скачать ГОСТ в PDF или DOC бесплатно
Основная информация
Обозначение:
ГОСТ Р 51431-99
Статус:
Отменен
Тип:
ГОСТ Р
Название русское:
Продукция соковая. Метод определения относительной плотности
Название английское:
Juice products. Method for determination of relative density
Даты и сроки
Дата издания:
01-01-02
Дата введения в действие:
01-01-01
Дата завершения срока действия:
01-01-17
Применение и описание
Область и условия применения:
Настоящий стандарт распространяется на фруктовые и овощные соки и подобные им продукты и устанавливает метод определения относительной плотности d с индексом 20/20
Связи и замены
Заменяющий:
-
Изменения и переиздания
Список изменений:
№0 от (рег. ) «Текстовое изменение; Изменено заглавие» №1 от (рег. ) «Текстовое изменение; Изменено заглавие; Изменены ссылочные НД»
Описание стандарта
ГОСТ Р 51431-99 Продукция соковая. Метод определения относительной плотности
Страницы стандарта


















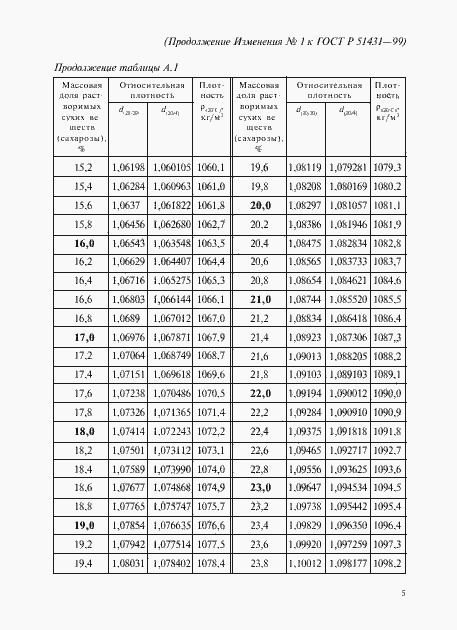
Приложение №2: Изменение №1 к ГОСТ Р 51431-99 Обозначение: Изменение №1 к ГОСТ Р 51431-99 Дата введения в действие: 01.07.2011

Приложение №2: Изменение №1 к ГОСТ Р 51431-99 Обозначение: Изменение №1 к ГОСТ Р 51431-99 Дата введения в действие: 01.07.2011

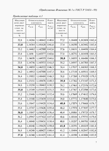
Приложение №2: Изменение №1 к ГОСТ Р 51431-99 Обозначение: Изменение №1 к ГОСТ Р 51431-99 Дата введения в действие: 01.07.2011

Приложение №2: Изменение №1 к ГОСТ Р 51431-99 Обозначение: Изменение №1 к ГОСТ Р 51431-99 Дата введения в действие: 01.07.2011

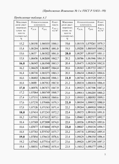
Приложение №2: Изменение №1 к ГОСТ Р 51431-99 Обозначение: Изменение №1 к ГОСТ Р 51431-99 Дата введения в действие: 01.07.2011

Приложение №2: Изменение №1 к ГОСТ Р 51431-99 Обозначение: Изменение №1 к ГОСТ Р 51431-99 Дата введения в действие: 01.07.2011

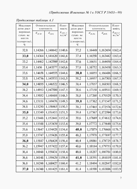
Приложение №2: Изменение №1 к ГОСТ Р 51431-99 Обозначение: Изменение №1 к ГОСТ Р 51431-99 Дата введения в действие: 01.07.2011

Приложение №2: Изменение №1 к ГОСТ Р 51431-99 Обозначение: Изменение №1 к ГОСТ Р 51431-99 Дата введения в действие: 01.07.2011

Приложение №2: Изменение №1 к ГОСТ Р 51431-99 Обозначение: Изменение №1 к ГОСТ Р 51431-99 Дата введения в действие: 01.07.2011

Приложение №2: Изменение №1 к ГОСТ Р 51431-99 Обозначение: Изменение №1 к ГОСТ Р 51431-99 Дата введения в действие: 01.07.2011

Приложение №2: Изменение №1 к ГОСТ Р 51431-99 Обозначение: Изменение №1 к ГОСТ Р 51431-99 Дата введения в действие: 01.07.2011

Приложение №2: Изменение №1 к ГОСТ Р 51431-99 Обозначение: Изменение №1 к ГОСТ Р 51431-99 Дата введения в действие: 01.07.2011
